第七节 混悬型液体制剂
一、概述
混悬型液体制剂系指难溶性固体药物以微粒状态分散于分散介质中形成的非均相液体制剂,也称为混悬剂(suspension)。混悬剂中药物 微粒一般在0.5~10μm之间,小者可为0.1μm,大者可达50μm或更 大。所用分散介质大多为水,也可用植物油。
制成混悬剂的条件是:难溶性药物需制成液体制剂供临床应用;药物的剂量超过了溶解度而不能制成溶液剂;两种溶液混合时药物的溶解度降低而析出固体药物;欲使药物达到长效,都可以考虑制成混悬剂。但为安全起见,毒剧药或剂量小的药物不应制成混悬剂使用。【考点,(※)】
混悬剂的质量要求应严格,药物本身的化学性质应稳定,在使用或贮存期间含量应符合要求;混悬剂中微粒大小根据用途不同而有不同要求;粒子的沉降速度应很慢,沉降后不应有结块现象,轻摇后应 迅速均匀分散。
二、影响混悬剂物理稳定性的因素
混悬剂分散相微粒的布朗运动不显著,易受重力作用而沉降,因而属于动力学不稳定体系。因微粒有较大的界面能,容易聚集,又属于热力学不稳定体系。因此混悬剂的处方设计应考虑微粒的聚集与沉降,其影响因素如下:
(一)微粒间的排斥力与吸引力
混悬剂中的微粒由于解离或吸附而带电,微粒间因带相同电荷而存在排斥力,同时也存在吸引力(范德华力)。当两种力平衡时,微粒间 能保持一定距离。
但是当两微粒逐渐靠近,吸引力略大于排斥力时可形成疏松的聚集体,即粒子虽然聚集在一起却呈絮状结构,但粒子间存在液膜,不 结成饼状,振摇时容易分散;当粒子间距进一步缩小,由于微粒带相同电荷而使产生的排斥力变得明显,达一定距离排斥力呈最大值时, 这时斥力最明显,对混悬剂的稳定性并不是最佳条件;如果由于振摇或微粒的热运动等原因而使粒子间距再略微缩小,则微粒互相强烈吸引,会挤出其间的溶剂而结成硬块,无法再分散。故要制成稳定的混悬剂,以体系中吸引力略大于排斥力为最好。
(二)混悬微粒的沉降
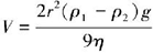
混悬液中药物微粒与液体介质之间存在密度差,如药物微粒密度较大,由于重力作用,静置时会发生沉降。在一定条件下,沉降速度符合Stokes定律:
(8-4)
式中,V为微粒沉降速度(cm/s),r为微粒半径(cm),ρ1 、ρ2分别为 微粒和分散介质的密度(g/mL),η为分散介质的黏度[g/(cm·s)],g为重 力加速度常数(cm/s2)。
由Stokes定律可看出,沉降速度V与r2 、(ρ1-ρ2)成正比,与η成反 比。V愈大动力学稳定性愈小。为了增加混悬液的动力学稳定性,在药剂学中可以采取的措施:减小粒径(r减至1/2,V降至1/4);增加介质黏 度η;调节介质密度以降低(ρ1-ρ2)。【考点,(※)】沉降体积比是描述混悬剂沉降性能 的指标,系指混悬剂静止放置后3h后,沉降物的体积与沉降前混悬剂的体积之比。一般沉降体积比越大,则表示混悬剂越稳定。
(三)微粒成长与晶型的转变
难溶性药物制成混悬剂时,药物粒子大小不可能完全相同。在体系中微粒的粒径相差愈多,溶解度相差愈大,小粒子具有较大的溶解 度。混悬剂中的小微粒逐渐溶解变得愈来愈小,大微粒变得愈来愈大,沉降速度加快,致使混悬剂的稳定性降低。所以在制备混悬剂时,不仅要考虑微粒的粒度,而且还要考虑其粒度的一致性。
许多有机药物结晶内部结构具有不同的晶型,称为多晶型。同一药物的多晶型中,只有一种晶型最稳定,其他亚稳定型都会在一定时 间内转化为稳定型。但亚稳定型的溶出速度与溶解度均大于稳定型, 且体内吸收也好。混悬剂中如具有多晶型药物,易出现亚稳定型不断向稳定型转变产生结块、沉降,不仅破坏了混悬剂的稳定性,还可能降低药效。可以增加分散介质黏度和加入抑制剂等方法克服。
(四)絮凝与反絮凝
混悬剂中的混悬微粒因分散度大而易聚集,而微粒表面所荷的同种电荷相斥阻止其聚集。当加入适当电解质时,可使ζ电位降低,以减 小微粒间的排斥力。ζ电位降低到一定程度后,混悬剂中的微粒形成疏 松的絮状聚集体,使混悬剂处于稳定状态。混悬微粒形成絮状聚集体 的过程称为絮凝,加入的电解质称为絮凝剂。为了得到稳定的混悬剂,一般应控制ζ电位在20~25mV范围内,使其恰好能产生絮凝作用。反之,向絮凝状态的混悬剂中加入电解质,使絮凝状态变为非絮 凝状态的过程称为反絮凝。
(五)分散相的浓度和温度
分散相的浓度增加,混悬剂的稳定性降低。温度对混悬剂的影响更大,温度变化不仅改变药物的溶解度和溶解速度,还能改变微粒的 沉降速度、絮凝速度、沉降容积,从而改变混悬剂的稳定性。
三、混悬剂的稳定剂
混悬剂的稳定剂主要起润湿、助悬、絮凝或反絮凝等作用,以使混悬剂稳定。
(一)润湿剂
用疏水性药物配制混悬液时,必须加入润湿剂,使药物能被水润湿。润湿剂作用原理是降低固-液二相界面张力,因此一些表面活性剂如聚山梨酯类、聚氧乙烯脂肪醇醚以及长链烃基或烷烃芳基的硫酸盐和磺酸盐均可用作润湿剂。
(二)助悬剂
助悬剂的作用是增加混悬液中分散介质的黏度,从而降低药物微粒的沉降速度,它又能被药物微粒表面吸附,形成机械性或电性的保护膜,防止微粒间互相聚集或结晶的转型,或者使混悬剂具有触变性,从而使混悬剂的稳定性增加。
通常可根据药物微粒的性质与含量,选择不同的助悬剂。
1.低分子物质 如甘油、糖浆等。内服混悬剂使用糖浆时兼用矫味作用。
2.高分子物质 天然高分子助悬剂常用的有阿拉伯胶,用量5%~15%;西黄蓍胶,用量0.5%~1%;琼脂,用量0.35%~0.5%;海藻酸 钠、白及胶或果胶亦可使用。在使用天然高分子助悬剂时应加入防腐剂(如苯甲酸类、尼泊金类或酚类)。合成类高分子助悬剂常用的有:甲基纤维素、羧甲基纤维素钠、羟乙基纤维素、羟丙基甲基纤维素、聚维酮、聚乙烯醇等。它们的水溶液均透明,一般用量为0.1%~1%,性质稳定,受pH影响小,但与某些药物有配伍变化。如甲基纤维素与鞣质或盐酸有配伍变化,羧甲基纤维素钠与三氯化铁或硫酸铝也有配伍 变化。
3.硅酸类 如胶体二氧化硅、硅酸铝、硅藻土等。硅藻土是胶体水合硅酸铝,无臭,有泥味,在水中带负电荷,吸附大量的水形成高 黏度的糊状物,能阻碍微粒聚集。它的配伍禁忌少,不需加防腐剂, 但遇酸或酸式盐能降低其水化性,通常配成的混悬剂在pH7以上更稳定。
4.触变胶 利用触变胶的触变性提高混悬剂的稳定性。如单硬脂酸铝溶解于植物油中可形成典型的触变胶,在静置时形成凝胶可防止微粒沉降,振摇时变为溶胶有利于混悬剂倒出,常用作混悬型滴眼剂的助悬剂。
(三)絮凝剂与反絮凝剂
混悬剂中加入适量的电解质,可使ζ电位降低到一定程度,即微粒间的排斥力稍低于吸引力,微粒呈疏松的絮状聚集体,经振摇又可恢复成均匀的混悬剂,这个现象叫絮凝,所加入的电解质称为絮凝剂。 如加入电解质后使ζ电位升高,阻碍微粒之间的碰撞聚集,这个过程称 为反絮凝,能起反絮凝作用的电解质称为反絮凝剂,适宜的反絮状体系也有利于混悬剂的稳定性。
同一电解质可因用量不同,在混悬剂中起絮凝作用(降低ζ电位)或反絮凝剂作用(升高ζ电位)。如枸橼酸盐、枸橼酸氢盐、酒石酸盐、酒 石酸氢盐、磷酸盐和一些氯化物(如三氯化铝)等,既可作絮凝剂亦可作 反絮凝剂。
四、混悬液的制备
制备混悬剂时,应使混悬微粒有适当的分散度,并应尽可能分散均匀,以减少微粒的沉降速度,使混悬剂处于稳定状态。混悬剂的制 备分为分散法和凝聚法。
(一)分散法
分散法是将粗颗粒的药物粉碎成符合混悬剂微粒要求的粒度,再分散于分散介质中制成混悬剂的方法。对于亲水性药物,一般先将药 物粉碎到一定细度,再加处方中的液体适量,研磨到适宜的分散度, 最后加入处方中的剩余液体使成全量。疏水性药物制备混悬剂时,药 物细粉遇水后不能被水润湿,很难均匀分散,这时必须加一定量的润 湿剂,与药物研匀,再加液体混匀制成混悬剂。少量制备可用乳钵, 大量生产可用乳匀机、胶体磨等机械。处方中的液体可以是水,也可 是其他液体成分。药物粉碎时可采用加液研磨,通常1份药物可加0.4~0.6份液体。对于质重、硬度大的药物,采用“水飞法”,可使药物粉 碎到极细的程度。
(二)凝聚法
1.物理凝聚法 物理凝聚法是将分子和离子分散状态的药物溶液,用物理方法使其在分散介质中凝聚成混悬液的方法。一般将药物 制成热饱和溶液,在搅拌下加至另一种不同性质的液体中,使药物快 速结晶。可先制成10μm以下(占80%~90%)微粒,再将微粒分散于适 宜介质中制成混悬剂。醋酸可的松滴眼剂就是用凝聚法制备的,将醋 酸可的松溶于氯仿中,滤过,将氯仿溶液在搅拌下加至汽油中,加完 后再搅拌30min,滤出结晶,120℃真空干燥,可得10μm以下占75%,20μm以下占5%,个别粒径为40μm以下的微晶。将微晶分散于 水中可制成滴眼液。
2.化学凝聚法 化学凝聚法是用化学反应法使两种药物生成难溶 性的药物微粒,再混悬于分散介质中制成混悬剂的方法。为使微粒细小均匀,化学反应通常在稀溶液中进行,并应急速搅拌。胃肠道透视用BaSO4混悬剂就是用本法制成的。化学凝聚法现已少用。
五、举例
例 炉甘石洗剂
【处方】炉甘石150g 氧化锌50g 甘油50mL 羧甲基纤维素钠2.5g 蒸馏水加至1000mL
【制法】取炉甘石、氧化锌,加甘油和适量蒸馏水共研成糊状,另取羧甲基纤维素钠加蒸馏水溶胀后,分次加入上述糊状液中,随加随搅拌,再加蒸馏水使成1000mL,搅匀,即得。
【性状】本品为淡粉红色的混悬液,放置后能沉淀,但经振摇后仍应成为均匀的混悬液。
【功能与主治】用于急性瘙痒性皮肤病,如湿疹、皮炎、荨麻 疹、痱子、皮肤瘙痒等。
【用法与用量】局部外用,用时摇匀,取适量涂于患处,一日2~3次。
【规格】每瓶100mL,含炉甘石15%,氧化锌5%,甘油5%。
【贮藏】避光、密封贮存。
【注解】
(1)《中国药典》2020年版规定,炉甘石按干燥品计算,含氧化锌不得少于40%。因此,洗剂中含锌化合物量以ZnO计应不少于11% (15%×40%+5%)。
(2)炉甘石与氧化锌均为水中不溶的亲水性药物,能被水润湿。故先加甘油研成细糊状,再与羧甲基纤维素钠水溶液混合,使粉末周围形成水的保护膜,以阻碍颗粒的聚合,振摇时易悬浮。

