第三节 溶解度与增加药物溶解度的方法
一、药物溶解度与溶度参数
(一)药物溶解度
药物的溶解度系指在一定温度(气体在一定压力)下,在一定量溶剂 中溶解药物的最大量。《中国药典》2020年版关于溶解度有7种提法: 极易溶解、易溶、溶解、略溶、微溶、极微溶解、几乎不溶或不溶。 这些概念仅表示药物大致溶解性能,而准确的溶解度,一般以一份溶质(1g或1mL)溶于若干毫升溶剂中表示。如苦杏仁苷在水中的溶解度为1∶12,即1g苦杏仁苷溶于12mL水中。
了解中药有效成分的溶解性质,对于中药制剂是十分必要的。有效成分的溶解度太小,这就意味着吸收会很困难。中药提取物一般是混合物。目前在大多数中药有效成分及其理化性质的数据不全的情况 下,可以先根据已知有效成分或指标成分的溶解性质,选择适宜的溶剂和方法进行提取。
(二)溶度参数
溶解过程是溶质分子与溶剂分子发生相互作用的过程。溶解时,溶质分子受到溶剂分子的吸引,从聚集状态分离出来而分布到溶剂分子中,当溶质分子的内聚力与溶剂分子对药物分子的吸引力达到平衡时,溶质分子即可均匀分散在溶剂介质中。因此,药物溶解时,当药物分子间的内聚力大于药物分子与溶剂分子作用力时,药物的溶解度 较小,反之,药物的溶解度较大。
溶度参数(solubilityparameter)系指相同分子间的内聚力,以δ表 示。δ可表示纯物质的特性,用来度量纯物质分子间的相互作用能,可作为物质极性的一种量度,δ越大,极性越大。因此,药物的溶解度与药物、溶剂的溶度参数有关,药物与溶剂的δ越接近,药物在该溶剂中的溶解度越大。溶度参数是“相似相溶”原理的定量表达,即“相似的溶 度参数有相似的溶解规律”。复合溶剂的溶度参数等于各纯溶剂的溶度 参数与体积分数的乘积之和,因此通过不同比例混合不同纯溶剂可改 变其溶度参数,从而达到溶解药物的目的。
中药提取物往往是复杂的多成分体系,其表观溶解特征是诸成分性质作用的综合表现。因此可通过不同纯溶剂按照一定比例混合获得合适溶度参数的混合溶剂,从而改变其对中药复方成分的溶解能力。
(三)影响溶解度的因素
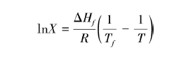
1.温度 温度对溶解度影响取决于溶解过程是吸热过程还是放热过 程。溶解度与温度的关系如下:
(8-2)
式中,X为溶解度(摩尔分数),Tf为药物熔点,T为溶解时温度,ΔHf为摩尔熔解热,R为气体常数。由上式可见,lnX与1/T成正比。ΔHf>0时为吸热过程,溶解度随温度升高而增加,ΔHf<0时为放热过程,溶解度随温度升高而降低。Tf>T时,ΔHf越小、Tf越低,溶解度X越大。
2.溶剂 药物在溶剂中的溶解度是药物分子与溶剂分子间相互作用的结果。如果药物分子间的作用力小于药物分子与溶剂分子间的作用 力,则药物溶解度大,反之,则溶解度小,即遵循“相似相溶”规律。氢键对药物溶解度影响大。在极性溶剂中,若药物分子与溶剂分子之间能形成氢键,则溶解度增大。但若药物分子能形成分子内氢键,则在极性溶剂中的溶解度减小,而在非极性溶剂中的溶解度增大。
3.药物的性质 不同的药物在同一溶剂中具有不同的溶解度。主 要由于极性的差异,也与晶型和晶格引力的大小有关。结晶型药物由 于晶格能的存在,与无定型药物溶解度差别很大。多晶型药物因晶格 排列不同,晶格能也不同,致使溶解度有很大差别。稳定型药物溶解 度小,亚稳定型药物溶解度大,如氯霉素棕榈酸酯A型、B型和无定型,B型和无定型为有效型,溶解度大于A型。同一结晶型的药物溶解度应无太大差别。如丁烯二酸有顺反两种结构,其晶格引力不同(两者的熔点高低不同),溶解度相差很大,顺式(马来酸)熔点130℃,溶解度1:5;反式(富马酸)熔点200℃,溶解度1:150。
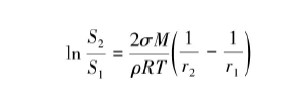
4.粒子大小 一般情况下,溶解度与药物粒子大小无关,但当药 物粒径处于微粉状态时,根据Ostwald-Freundlich式,药物溶解度随粒径减小而增加。

式中,S1 、S2分别是半径为r1 、r2药物的溶解度;σ为表面张力;ρ为固体药物的密度;M为分子量;R为气体常数;T为绝对温度。根据 上式可知,当药物处于微粉状时,若r2<r1 时,r2 的溶解度S2大于r1 的溶 解度S1 。可以用减小粒径的办法来增大难溶性药物的溶解度,微粉化就是利用了这一原理。
二、增加药物溶解度的方法
(一)增溶
有关增溶的内容详见本章第二节。
(二)助溶
一些难溶于水的药物由于加入第二种物质而增加其在水中的溶解度的现象,称为助溶(hydrotropy),该第二种物质称为助溶剂。【考点,(※)】
助溶的机理一般有三种:①助溶剂与难溶性药物形成可溶性络合物;②形成有机分子复合物;③通过复分解而形成可溶性盐类。【考点,(※)】如难溶的碘在10%碘化钾水溶液中制成含碘达5%的水溶液,这是形成可溶 性络合物(KI3)增大了碘在水中的溶解度;咖啡因在水中的溶解度为1:50,用苯甲酸钠助溶,形成分子复合物苯甲酸钠咖啡因,溶解度增 大到1:1.2;芦丁在水中溶解度1:10000,可加入硼砂而增大其溶解度【考点,(※)】。
常用助溶剂可分为两类:一类是某些有机酸及其钠盐,如苯甲酸 钠、水杨酸钠、对氨基苯甲酸钠等;另一类是酰胺化合物,如乌拉坦、尿素、烟酰胺、乙酰胺等。
(三)制成盐类
一些难溶性弱酸、弱碱,可制成盐而增加其溶解度。
含酚羟基等酸性基团的药物均可用碱(氢氧化钠、碳酸氢钠、氢氧 化钾、氨水、乙二胺、三乙醇胺等)与其作用生成溶解度较大的盐。天然及合成的有机碱,一般用盐酸、硫酸、硝酸、磷酸、氢溴酸、枸橼酸、水杨酸、马来酸、酒石酸或醋酸等制成盐类。例如黄芩苷元因脂 溶性强而影响溶解度、吸收与活性,因此常制备成钠盐、铝盐、有机胺盐及磷酸酯钠盐等使用。
选用盐类时除考虑溶解度因素、满足临床要求外,还需考虑溶液的pH值、稳定性、吸湿性、毒性及刺激性等因素。
(四)使用潜溶剂
有时溶质在混合溶剂中的溶解度要比其在各单一溶剂中的溶解度大,这种现象称为潜溶性,具有这种性质的混合溶剂称为潜溶剂(cosolvent)。【考点,(※)】常与水组成潜溶剂的有乙醇、丙二醇、甘油、聚乙二醇300或400等。如洋地黄毒苷可溶于水和乙醇的混合溶剂中;苯巴比妥难溶于水,制成钠盐虽能溶于水,但因水解而沉淀和变色,若用聚乙二醇与水的混合溶剂,则溶解度增大而且稳定,可供制成注射剂。药 物在混合溶剂中的溶解度,与混合溶剂的种类、混合溶剂中各溶剂的 比例有关。药物在混合溶剂中的溶解度通常是各单一溶剂溶解度的相 加平均值,但也有高于相加平均值的。
此外,提高温度可促进药物的溶解;应用微粉化技术可减小粒 径,提高药物的溶解度;包合技术等新技术的应用也可促进药物的溶解。

