-
1 教学内容
-
2 教学课件
-
3 章节测试
-
4 实验展示
-
5 拓展阅读
3.8 果胶与膳食纤维
3.8.1 果胶
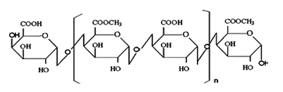
是由α-1,4-D-吡喃半乳糖醛酸单位组成的聚合物,各种果胶的主要差别是它们的甲氧基含量或酯化度不相同,酯化度(DE)用D-半乳糖醛酸残基总数中D-半乳糖醛酸残基的酯化分数×100表示。

通常将酯化度大于50%的果胶称为高甲氧基果胶(high-methoxyl pectin)酯化度低于50%的是低甲氧基果胶(low-methoxylpectin)。
果胶酯酸(pectinic acid):是甲酯化程度不太高的果胶,原果胶在原果胶酶和果胶甲酯酶的作用下转变成果胶酯酸。水溶性的果胶又称为低甲氧基果胶,果胶酯酸在果胶甲酯酶的持续作用下,甲酯基可全部脱去,形成果胶酸。
果胶能形成具有弹性的凝胶,不同酯化度的果胶形成凝胶的机制是有差别的,高甲氧基果胶必须在低pH值和高糖浓度中才能形成凝胶,一般要求果胶含量<1%、蔗糖浓度58%-75%、pH2.8-3.5。其分子间的斥力减小,分子的水合作用降低,结果有利于分子间的结合和三维网络结构的形成。普通果胶在浓度1%时可形成很好的凝胶。
低酯化度(低甲氧基)果胶在没有糖存在时也能形成稳定的凝胶,但必须有二价金属离子(M2+)存在。钙离子。低甲氧基果胶对pH的变化不及普通果胶那样敏感,在pH2.5-6.5范围内可以形成凝胶。
果胶常用于制作果酱和果冻的胶凝剂、生产酸奶的水果基质以及饮料和冰淇淋的稳定剂与增稠剂。
3.8.2 膳食纤维的结构和性质
3.8.1.1 膳食纤维的定义
DF被定义为“凡是不被人体内源酶消化吸收的可食用植物细胞、多糖、木质素以及相关物质的总和”。
3.8.1.2膳食纤维的分类
(1)水溶性膳食纤维(SDF)和水不溶性膳食纤维(IDF)两类。
SDF是指不被人体消化道酶消化,但可溶于温、热水,和水结合会形成凝胶状物质,且其水溶液又能被其四倍体积的乙醇再沉淀的那部分DF。
IDF是指不被人体消化道酶消化且不溶于热水的那部分DF。
SDF和IDF二者在人体内所具有的生理功能和保健作用是不同的。
(2)按膳食纤维的来源分:植物类(包括海藻)、动物类、合成类。
3.8.1.3膳食纤维的理化特性
(1)溶解性和黏性
(2)具有很高的持水性 水溶性DF持水性高于水不溶性DF的持水性。
(3)对有机化合物的吸附作用 具有吸附肠道中胆汁酸、胆固醇、变异原等有机化合物的功能,这是DF预防心血管疾病的重要原因。
(4)对阳离子的结合和交换作用 DF优先吸附极化度大的阳离子,如Pb2+等有害离子,所以吸附在DF上的有害离子可随粪便排出,从而起到解毒的作用。
(5)改变肠道系统中微生物群系组成 DF在肠内经发酵,会繁殖100-200种总量约在1×108各细菌。其中相当一部分是有益菌,在提高机体免疫力和抗病变方面有着显著的功效。DF在肠道中也会诱导产生大量的好氧菌群,从而减少了厌氧菌群的致癌性和致癌概率,这对预防结肠癌疾病具有重要的作用。
(6)容积作用 DF吸水后产生膨胀,体积增大,易引起饱腹感。DF对预防肥胖病大有益处。
3.8.2膳食纤维的代谢
在大肠和结肠内的一些微生物可对部分DF进行不同程度的降解,DF的净能量不严格等于零。水溶性DF,像果胶、海藻胶等,在大肠和结肠中容易被降解,然而纤维素等不溶性DF不易被肠道微生物所降解。
3.8.3膳食纤维的生理功能
(1)营养功能 可溶性DF可增加食物在肠道中的滞留时间,延缓胃排空。可溶性DF可以减少血液胆固醇水平,减少心脏病、结肠癌发生;不溶性DF可促进肠道产生机械蠕动,降低食物在肠道中的滞留时间增加粪便的体积和含水量、防止便秘。可溶性DF比不溶性DF具有更好的生理功能。
(2)预防肥胖症和肠道疾病 易于产生饱腹感而抑制进食量,而DF自身不提供能量,这对肥胖症有较好的调节功能。DF具有类似填充剂的作用,在肠道中吸水、膨胀呈现一定的黏性,因此会降低肠道中消化酶的浓度而降低对过量能量物质的消化吸收,预防肥胖症。
降低大肠致癌物的浓度。DF能缩短食物及其残渣通过胃肠道的运转时间,减少致癌物与组织接触的时间。吸附肠道中的阳离子(特别是有机阳离子),使粪便中的有害物质特别是致癌物质及时排出体外,大大减少肠道癌和痔疮等的发病概率。
(3)预防心血管疾病 DF能够显著抑制总胆固醇(TC)浓度的升高。DF还可直接吸附肠道中的游离胆固醇,使其快速排出体外。DF的黏性会在小肠中增加内容物的黏度,在小肠的内壁形成一定厚度的胶基层,阻碍了胆固醇与肠黏膜接触的概率,减少了机体对胆固醇的吸收。DF通过降低胆酸及其盐类的合成与吸收,加速了胆固醇的分解代谢,从而阻碍中性脂肪和胆固醇的胆道再吸收,限制了胆酸的肝肠循环,进而加快了脂肪物的排泄。因此,可直接扼制和预防冠状动脉硬化、胆石症、高血脂症、对心脑血管疾病起到预防作用。
(4)降低血压 DF尤其是酸性多糖类,具有较强的阳离子交换功能,直接产生降低血压的作用。
(5)降血糖 DF可吸附葡萄糖,减少糖类物质在体内的吸收,从而控制血糖的上升。
(6)抗乳腺癌 DF减少血液中诱导乳腺癌雌性激素的比率。DF预防乳腺癌的可能机理是:①DF直接吸附肠道中的结合型雌激素;②DF能够吸附被肠道微生物酶催化而成的游离雌激素;③DF通过增加排粪量而降低肠道微生物酶的浓度。
(7)膳食纤维抗氧化性和清除自由基作用
(8)提高人体免疫能力 多糖组分具有通过巨噬细胞和刺激抗体的产生。
(9)改善和增进口腔、牙齿的功能
(10)其他作用
3.8.4膳食纤维的安全性
DF如果摄入太多,不仅会引起一些身体不适,而且还会影响人体对脂肪、蛋白质、无机盐和某些微量元素的吸收等一系列副作用。DF各组成成分对人体健康的作用是不同的,不同种类的DF对人体的影响也是多方面的。
引起人体腹胀、胀气等不适反应,影响人体对这些能量物质的生物利用率,影响肠道内矿物质的生理吸收。
每人每天DF的适宜摄入量为30.2g;对未成年的儿童和青少年来说,DF的适宜摄入量应遵循“年龄+5”的原则。
思考题:
1、概念:多糖;低聚糖;美拉德反应;非酶褐变;直链淀粉;支链淀粉;淀粉糊化;淀粉老化;膳食纤维。
2、简述碳水化合物与食品质量的关系。
3、比较单糖与多糖在结构和功能性质上有何异同。
4、简述非酶褐变对食品品质的影响。
5、简述果胶的性能及其凝胶形成的机理。
6、简述膳食纤维的生理功能及其安全性。

