-
1 教学内容
-
2 教学课件
-
3 章节测试
-
4 拓展阅读
-
5 食事化解1
-
6 食事化解2
3.8 食品中的重要低聚糖和多糖简介
3.8.1 食品中重要的低聚糖
蔗糖、麦芽糖、乳糖、和环状糊精是食品加工中最常用的低聚糖。许多特殊的低聚糖(如聚果糖、低聚木糖、甲壳低聚糖和低聚魔芋葡苷露糖)具有显著的生理功能。
常见的双糖主要有纤维二糖、麦芽糖、异麦芽糖、龙胆二糖和海藻糖等,又称还原糖。
蔗糖、乳糖、乳酮糖(lactulose)和二糖是杂低聚糖,除蔗糖外其余都是还原性双糖。如果缺乏乳糖酶,会使乳糖在大肠内受到厌氧微生物的作用,发酵生成醋酸、乳酸和其他短链酸,倘若这些产物大量积累会引起腹泻。
低聚果糖、低聚木糖等,它们又称为功能性低聚糖。特点:不被人体消化吸收,提供的热量很低,能促进肠道双歧杆菌的增殖,预防牙齿龋变结肠癌等。
(1)大豆低聚糖:(soyben oligosaccharide)主要成分是水苏糖(stachyose占成熟大豆干基3.7%)、棉籽糖(raffinose,占大豆干基1.3%)和蔗糖(占大豆干基5%)。
(2)低聚果糖(fructo-oligosaccharide) 存在于果蔬中,如牛蒡(3.6%)、洋葱(2.8%)、大蒜(1.0%)、黑麦(0.7%)、香蕉(0.3%)。是一种防龋齿的甜味剂。
(3)低聚木糖(xylo-oligosaccharide)其甜度约为蔗糖的40%。木二糖含量越高,则低聚木糖的质量越好,低聚木糖一般是以富含木聚糖(xylan)的植物性物质如玉米芯、糖渣、棉籽壳和麸皮等为原料,通过木聚糖酶水解而制得。
(4)甲壳低聚糖生理活性,如提高机体免疫能力、抗肿瘤作用、促进双歧杆菌增殖等。
(5)其他低聚糖
3.8.2 淀粉及糖原
3.8.2.1淀粉
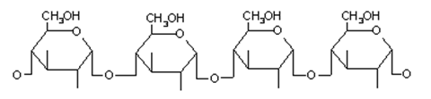
淀粉一般由直链淀粉和支链淀粉构成。当直链淀粉比例较高时不易糊化,直链淀粉容易发生“老化”,糊化形成的糊化物不稳定,而支链淀粉糊化后非常稳定的。在食品工业中淀粉被广泛在用作增稠剂、黏合剂、稳定剂。
(1)淀粉的化学结构

直链淀粉:是由α-D-吡喃葡萄糖残基以1,4键结合而成直链分子,分子量106左右,呈右手螺旋结构,在螺旋内部只含氢原子,具亲油性;糖链上羟基在螺旋外部,具亲水性。
支链淀粉
是一分支很高的大分子支链通过以α-1,6糖苷键与主链连接,分支点的α-1,6糖苷键占总糖苷键的4%-5%。
3.8.2.2 糖原
糖原又称动物淀粉。
3.8.3 纤维素和半纤维素
通常与半纤维素、果胶、和木质素结合在一起。纤维素是一类重要的膳食纤维。
纤维素是由D-吡喃葡萄糖通过β-D-1,4糖苷键连接构成的线型同聚糖。
微晶纤维素(avieol)。
(1)羧甲基纤维素 可用来增加食品的黏性,溶于水可形成非牛顿流体,其黏度随着温度上升而降低。羧甲基纤维素有助于食品蛋白质的增溶。羧甲基纤维素具有适宜的流变学性质、无毒以及不被人体消化特点,对水的结合能力大。
(2)甲基纤维素和羟丙基纤维素 甲基纤维素的特点是热胶凝性,即溶液加热时形成凝胶,冷却后又恢复溶液状态。是膳食中的无热量多糖。
甲基纤维素和羟丙基甲基纤维素可增强食品对水的吸收和保持,在冷冻食品中用于抑制脱水收缩,在色拉调味汁中可作为增稠剂和稳定剂。
半纤维素
食品中最普遍存在的半纤维素是由β-1,4-D-吡喃木糖单位组成的木聚糖。半纤维素在食品焙烤中最主要的作用是提高面粉对水的结合能力,也是膳食纤维的来源之一。
3.8.4 果胶
3.8.5 琼脂
琼脂(agar)。
3.5.5.1琼脂的结构和性质
琼脂为无色或淡黄色的细条或粉末;无臭、味淡;不容于水,但能膨胀成胶块状,在沸水中能缓缓溶解。
3.5.5.2琼脂在食品工业中的应用
琼脂除作为一种海藻类膳食纤维外,还可作为软糖、羊羹、果冻布丁、果酱、鱼肉类罐头、冰淇淋等的凝固剂、稳定剂、增稠剂。
3.8.6 卡拉胶
卡拉胶(carrageenan)。
3.5.6.1卡拉胶的结构和性质
卡拉胶是从红藻中提取的一种水溶性、天然高分子多糖化合物。
卡拉胶产品一般为无臭、无味的白色至淡黄色粉末。卡拉胶形成的凝胶是热可逆的。
3.5.6.2卡拉胶在食品工业中的应用
卡拉胶具有凝固性、溶解性、稳定性、黏性和反应性等特点,主要用作凝固剂、增稠剂、乳化剂、悬浮剂和稳定剂。
3.8.7 褐藻胶
褐藻胶(algin),又称海藻胶,包括水溶性褐藻酸纳、钾等碱金属盐类和水不溶性褐藻酸(alginic acid)。
3.8.7.1褐藻胶的结构和性质
褐藻胶是由糖醛酸聚合成的大分子线性聚合物,大多以钠盐形式存在。
褐藻酸在纯水中几乎不溶,为无色非晶体物。
褐藻酸纳溶于水后具有较高的黏性。
褐藻胶在pH5.8以上时易溶于水,在褐藻酸溶液中加入部分钙离子空置换褐藻酸纳中的钠离子,从而形成较坚固的凝胶。褐藻酸钙是不容于水的。
3.8.7.2 海藻胶在食品工业中的应用
海藻胶具有增稠、悬浮、乳化、稳定形成凝胶和形成薄膜的作用。
3.8.8 海藻硒多糖
3.8.9 甲壳质与壳聚糖
甲壳质(chitin)又名甲壳素、几丁质、蟹壳素、乙酰氨基葡萄糖等。
壳聚糖(chitosan)。
3.8.9.1甲壳质和壳聚糖的结构和性质
甲壳质是呈白色或灰白色、不透明无定形固体,大约在270℃分解,不容于水、乙醇等一般有机溶剂以及稀酸和稀碱。
壳聚糖可溶于稀有机酸和部分无机酸(盐酸)。
3.8.9.2壳聚糖在食品工业中的应用
(1)作为食品的天然抗菌剂
(2)作为水果的天然保鲜剂
(3)作为食品的天然抗氧化剂
(4)保健食品添加剂
(5)果汁的澄清剂
(6)水的净化剂
3.8.9.3 甲壳低聚糖在食品工业中的应用
甲壳低聚糖(chitooligosaccharides)是甲壳素和可聚糖经降解生成的一类低聚物。具有较高的溶解度,所以很容易被机体吸收利用。
(1)甲壳低聚糖可作为人体肠道的微生态调节剂。
(2)甲壳低聚糖可作为功能性甜味剂。不产生热量,是糖尿病人、肥胖病人理想的功能性甜味剂。
(3)甲壳低聚糖具有很好的防腐性能,可作为食品防腐剂。
(4)甲壳低聚糖可用于果蔬食品的保鲜,起到保湿、增湿和防腐作用。
(5)甲壳低聚糖可以促进钙的吸收。
3.8.10 瓜尔豆胶和角豆胶
瓜尔豆胶和角豆胶是重要的增稠多糖。瓜尔豆胶是所有天然胶和商品胶中黏度最高的一种。
瓜尔豆胶能结合大量的水,在冷水中迅速水合生成高度黏稠和触变的溶液。
瓜尔豆胶溶液呈中性,黏度几乎不受pH变化的影响。在冰淇淋中可防止冰晶生成。
角豆胶(carob bean gum)。角豆胶的物理性质与瓜尔豆胶相似,两者都不能单独形成凝胶,但溶液黏度比瓜尔豆胶低。
角豆胶用于冷冻甜食中,可保持水分并作为增稠剂和稳定剂,添加量为0.15%-0.85%。
3.8.11 黄蓍胶
黄蓍胶(gumtragacanth)对热和酸均很稳定,可作色拉调味汁和沙司的增稠剂。
3.8.12 微生物多糖
微生物多糖主要有葡萄糖和黄原胶。
葡萄糖可提高糖果的保湿性、黏度、抑制糖结晶,在口香糖和软糖中作为凝胶剂。
黄原胶(xanthan)是几种黄杆菌所合成的细胞外多糖。黄原胶易溶于热水或冷水,在低浓度时可以形成高黏度的溶液,但在高浓度时胶凝作用较弱,它是一种假塑性黏滞悬浮体,并显示出明显的剪切稀化作用(shearthinning)。
3.8.13 魔芋葡甘露聚糖
魔芋葡甘露聚糖是由D-甘露糖与D-葡萄糖通过β-1,4糖苷键连接而成的多糖,β-1,3糖苷键。魔芋葡甘露聚糖能溶于水,形成高度黏度假塑性流体,形成强度较高的热不可逆弹性凝胶。魔芋葡甘露聚糖的高度亲水性、胶凝性和成膜性。
3.8.14 阿拉伯树胶
阿拉伯树胶易溶于水形成低黏度溶液,只有在高浓度时黏度才开始急剧增大。它最大特点是溶解度高可达到50%(质量分数)。
阿拉伯树胶能防止糖果产生糖结晶,稳定乳胶液并使之产生黏性,阻止焙烤食品的顶端配料糖霜或糖衣吸收过多的水分。



