曲线运动的描述 运动学中的两类问题
上一节
下一节
一. 曲线运动的描述

1. 速度
![]()



*注意:△t趋向于0时,
沿切线方向,且
![]()
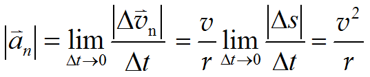
2. 圆周运动中的加速度

![]()
根据加速度定义


![]()
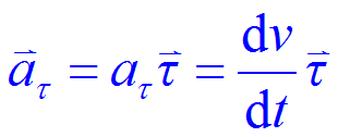
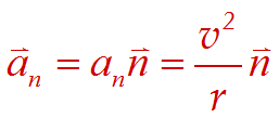
反映速度方向变化的快慢 法向加速度
反映速度大小变化的快慢 切向加速度


, 

加速度的大小和方向分别为
, 
3. 一般平面曲线运动中的加速度



ρ为轨迹曲线在任意点的曲率半径。
-------------------------------------------------------------------------------------------------
*圆周运动的角量描述





