窗函数法设计FIR滤波器
上一节
下一节
设计目的:求满足技术指标ωp,ωs,ap,as的FIR滤波器单位脉冲响应h(n)。
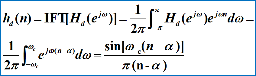
(1)选取理想低通滤波器hd(n)
![]()


但:hd(n)是以α为中心的偶对称无限长的非因果序列,它不是可实现的FIR滤波器。

(2)截取(加窗)h(n)=hd(n)w(n)
h(n)为可实现的有限长因果序列。
其中:w(n)---窗函数

对hd(n)截取0~N-1点 (加矩形窗)
为了得到线性相位,h(n)应对称,
∴α=(N-1)/2
(一般取N为奇数,h(n)偶对称)
(3)窗函数的选择


*窗函数的选择
过渡带宽tr越小越好,阻带衰减as越大越好。
哈明窗是较好的选择。
tr=8π/N,as=53dB
1. 矩形窗(Rectangle Window)
wR(n)=RN(n)
2. 汉宁(Hanning)窗——升余弦窗

3. 哈明(Hamming)窗——改进的升余弦窗
![]()




(1)根据技术要求确定理想滤波器的单位取样响应hd(n)

(2)根据对过渡带及阻带衰减的要求选择窗函数,并估计窗口长度N;ωc=(ωp+ ωs)/2
设滤波器过渡带为Δω,哈明窗:查表 7.2.2得Δω≈8π/N,则:N=[8π/Δω]+1
(3)计算实际滤波器的单位取样响应h(n)
h(n)=hd(n)w(n)
(4)验算技术指标是否满足要求
用汉宁窗设计FIR低通滤波器,N=11,ωc=0.2πrad。
解:

用汉宁窗设计:


