线性相位FIR滤波器的条件
上一节
下一节
FIR滤波器单位脉冲响应为:
h(n)={h0,h1,…hN-1} N--滤波器的阶数


lFIR滤波器:图像通信
对线性相位要求很高(防止图像的失真)
lIIR滤波器:语音信号处理
对线性相位要求不高。(因为人耳听到的是声音的功率谱)
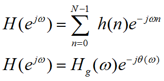
对于长度为N的h(n),其传输函数为:

式中,Hg(ω)称为幅度特性,θ(ω)称为相位特性

(7.1.3)式称为:第一类线性相位;
(7.1.4)式称为:第二类线性相位。



求:三点平均器h(n)={1/3,1/3,1/3}的H(ejω),并判断它是否为线性相位滤波器,若是,则φ(ω)=?
解:

τ =(N-1)/2=(3-1)/2=1;
θ(ω)= -τω= -ω
特点:FIR滤波器网络无反馈支路。



