IIR数字滤波器设计
上一节
下一节
(1)根据技术指标设计模拟低通滤波器,得到其传输函数H(s)。
(2)将H(s)转换成数字低通滤波器系统函数H(z)。
有若干典型模拟滤波器供选择,如巴特沃斯(Butterworth)滤波器、切比雪夫(Chebyshev)滤波器等,这些滤波器都有严格的设计公式、现成图表供设计人员使用。
Ωp和Ωs分别为通带截止频率和阻带截止频率;αp是通带最大衰减系数,αs是阻带最小衰减系数。





巴特沃斯模拟低通滤波器的设计步骤:
l根据技术指标Ωp,αp,Ωs,αs,求滤波器的阶数N和3dB截止频率Ωc。

l根据N,查表6.2.1,得归一化传输函数Ha(p)。 
l将Ha(p)去归一化。
即:将p=s/Ωc代入Ha(p),得滤波器传输函数H(s)。



l例
设计低通数字滤波器,要求在通带内频率低于0.2πrad时,容许幅度误差在1dB以内;在频率0.3π到π之间的阻带衰减大于15dB。模拟滤波器采用巴特沃斯低通滤波器。用双线性变换法设计滤波器。
解:
① 数字低通技术指标为:
ωp=0.2πrad,αp=1dB;
ωs=0.3πrad,αs=15dB
② 模拟低通的技术指标为:

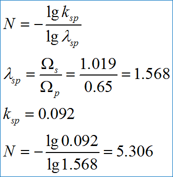
③ 设计巴特沃斯低通滤波器。阶数N计算如下:

取N=6。

根据N=6,查表6.2.1得归一化传输函数
![]()
p=s/Ωc代入Ha(p),得:
![]()
④ 用双线性变换法将Ha(s)转换成数字滤波器H(z):


