l引言
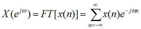
序列的傅里叶变换(FT):

ω在0~2π(rad)内变化,仍是连续的,须经离散化才能在计算机上处理。
l方法
在单位圆上均匀取样,将0~2π等分为N点,第k点频率ωk=(2πk)/N,则:
![]()

序列x(n)的DFT:


x(n)=δ(n)。 求:x(n)的N点DFT。
解:



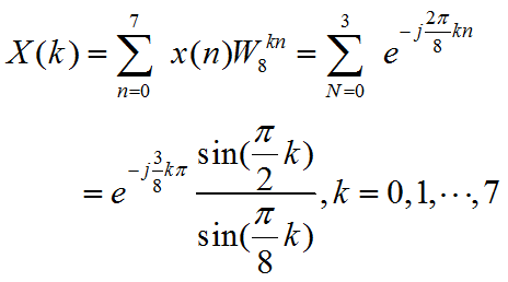
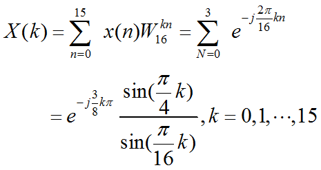
x(n)=R4(n) ,求x(n)的8点和16点DFT。
解:
设变换区间N=8,则:


N=16:


lDFT/IDFT公式的矩阵形式:

双音多频信号"2"表达式:
x(n)=sin(2πn*697/8000)+sin(2πn*1336/8000),
编程绘出x(n)的幅频谱。(DFT的点数N=800)

%DFT程序
N1=800;f1=697;f2=1336;
fs=8000;n=0:N1-1
xn=sin(2*pi*f1/fs*n)+sin(2*pi*f2/fs*n);
%xn---双音多频信号“2”
M=length(xn); %x(n)的长度M
N=input('变换区间N='); %变换区间N
xn=[xn zeros(1,N-M)]; %补0,使xn长度为N
n=0:N-1;k=0:N-1;
nk=n'*k;
wn=exp(-j*2*pi/N); %旋转因子矩阵WnK
wnK=wn.^nk;
xk=xn*wnK %xk=DFT[xn]

附
DFT程序
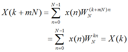
X(k+mN)=X(k) (m为整数)
证:由于:
(k,m,n均为整数)
故:

![]()
取:N=100, k= -2N~2N, n= -2N~2N



