序列的Z变换
上一节
下一节
lx(n)的双边Z变换为

![]()
lx(n)的单边Z变换为:

Z变换存在条件为:

![]()


FT和ZT之间的关系为:

序列的FT是序列Z变换在单位圆上取值
![]()
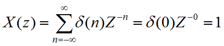
x(n)=δ(n),求其Z变换。
解:

收敛域:0≤|Z|≤∞(整个Z平面)
l有限长序列
有限长序列x(n)满足下式:


ROC: 至少为0<|z|<∞
(整个z平面,0与∞点需判断)
求:x(n)=RN(n)的Z变换及ROC
解:


ROC:0<|z|≤∞
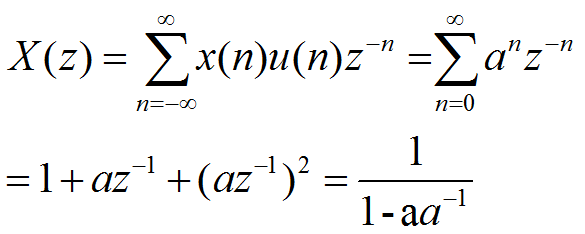
l右序列
x(n)在n≥n1时才有值
则:

ROC: Rx- <|z|≤∞(以Rx-为半径的圆外)
![]()
解:


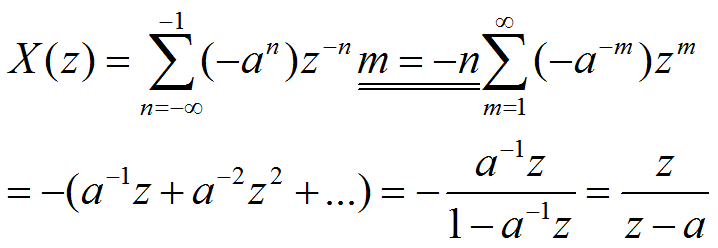
l左序列
x(n)在n≤n2才有值

ROC:0≤|z|<Rx+(以Rx-为半径的圆内)
![]()
解:

![]()
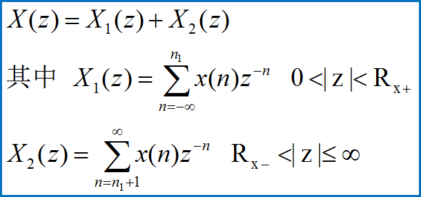
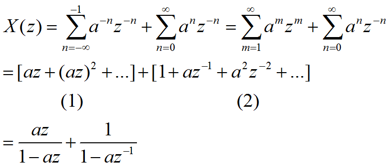
l双边序列
x(n)可看作左序列和右序列之和,其Z变换为:

(1)若Rx+>Rx-,ROC:Rx- <|z|< Rx+ (圆环)
(2)若Rx+<Rx-,两个收敛域没有公共区域,因此X(z)不存在
![]()
解:




