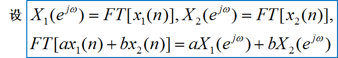
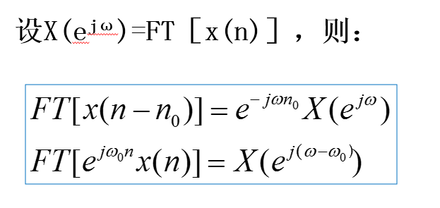
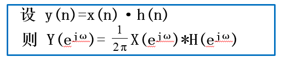
序列的傅里叶变换
上一节
下一节
频域分析---研究信号和系统的频率表示。
(1)听觉系统---声音的功率谱

(2)三棱镜--频域分析仪
将白光分解为七种不同颜色(频率)的光

频谱分析的数学方法:傅里叶变换(FT)

设:连续信号为x(t),则x(t)的傅里叶变换为:
FT成立的充要条件是x(n)绝对可和,即:

序列的傅里叶反变换:

物理含义:任意工程信号可分解为无数个虚指数信号/2π之和,其系数即频谱X(
)。
设x(n)=RN(n), 求x(n)的FT
解:

R4(n)的幅频谱和相频谱




![]()





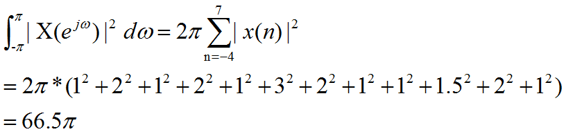
信号时域总能量=频域总能量
![]()

求:

解:根据帕斯维尔定理得:


