相同序号的序列值对应相乘和相加。
x1(n)={1,1,1},x2(n)={1, 2, 3}
↑n=0
求:
(1) y1(n)=x1(n)+x2(n)
(2) y2(n) =x1(n)x2(n)
解:
(1)y1(n)={1,3,4,1}
↑
(2)y2(n)={2,3}
x(n-n0)--x(n)右移n0位,称为x(n)的延迟序列。
x(n+n0)--x(n)左移n0位,称为x(n)的超前序列。
x(n)={1,2,3} ,求:x(n-1)和x(n+1)
解:
x(n-1)={0,1,2,3}
x(n+1)={1,2,3}
↑
以n=0为轴,将x(n)图形对该轴翻转。
x(n)={1,2,3},求:x(-n)
解:x(-n)={3,2,1}
↑
1.x(mn)--m抽取,即每隔m点抽取1点。对应时间轴压缩到原来的1/m。
2.x(n/m)--m插值,即每2点插入m-1个0。对应时间轴扩展到原来的m倍。
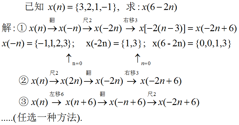
x(n)={3,2,1,-1},求x(2n),x(1/2n)
解:
x(2n)={3,1};
x(1/2n)={3,0,2,0,1,0,-1}


y(n)=x(n)* h(n)
“*”:卷积,即y(n)=

1.直接法
①将x(n)和h(n)用x(m)和h(m)表示;
将h(m)翻转,得h(-m);
将h(-m)右移n,得h(n-m)。
②确定m的范围。
③将x(m)和h(n-m)相同m的序列值对应相乘,再相加。
例:
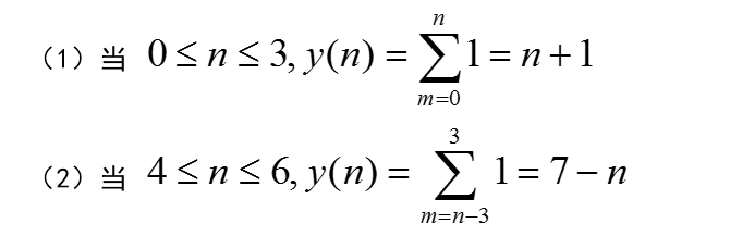
设x(n)=R4(n),h(n)=R4(n)
求:y(n)=x(n)*h(n)。
解:
R4(m)的非零值区间为:0≤m≤3
R4(n-m)的非零值区间为:0≤n-m≤3
其乘积值的非零区间,要求:0≤m≤3,n-3≤m≤n

则:

*注:
y(n)的长度:Ny= Nx+Nh-1
其中:Nx--x(n)的长度;
Nh--h(n)的长度。
2.列表法(适用于求有限长序列的卷积)
运算步骤:
(1)列表:第1行和第2行是x1(n)及其序号,
第1列和第2列是x2(n)及其序号;
(2)填元素:填对应行列所在项的乘积;
(3)斜线上元素求和;
(4)定序号:各序号=对应行序号+列序号。
x1(n) ={1,1,1},x2(n)={1,2}
采用列表法求:y(n)= x1(n)*x2(n)



附
卷积运算程序:

