典型序列
上一节
下一节





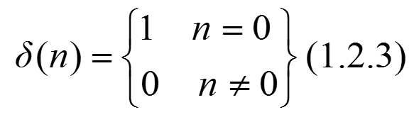
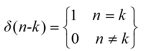
利用本性质,可将任意序列展开为单位采样序列的移位加权和。





如下图:

实指数: x(n)=anu(n),a为实数

![]()
由欧拉公式得:

正弦序列由正弦信号

采样所得,即
![]()
其中ω=ΩT =2πf/fs
ω--数字频率(rad);
Ω--模拟角频率(rad/s)
fs=1/T --取样频率(Hz)
Ω -∞~+∞(rad/s)
ω 0~2π (rad)
双音多频(DTMF)信号
DTMF信号用于按键电话通信,用户可从电话发送DTMF信号来选择菜单进行操作。共16种信号,如下表:

x(t)=sin(2π*697t)+sin(2π*1336t) fs=8000Hz
求:x(n)[双音多频(DTMF)信号“2”]

%DTMF信号“2 ”产生程序:
clear
clc
f1=697;f2=1336;fs=8000;
%信号频率及采样频率
n=0:7999; %时间范围
x=sin(2*pi*f1/fs*n)+sin(2*pi*f2/fs*n);
% 产生DTMF信号“2”
plot(x); %绘图
附
DTMF信号“2”的产生程序

附
DTMF信号“2”的音频文件
附
补充作业
1)求DTMF信号的正弦序列,用x1(n)~xD(n)表示。
2)程序设计:利用matlab产生"0","1","2"三个DTMF信号,并绘图。

