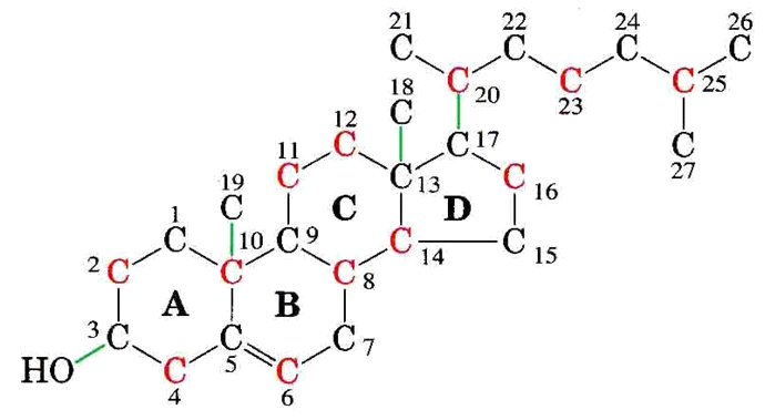
一、胆固醇(cholesterol)结构
固醇共同结构
环戊烷多氢菲

动物胆固醇(27碳)


二、胆固醇的生理功能
是生物膜的重要成分,对控制生物膜的流动性有重要作用;
是合成胆汁酸、类固醇激素及维生素D等生理活性物质的前体。
三、胆固醇在体内含量及分布
含量: 约140克
分布:
广泛分布于全身各组织中
大约 分布在脑、神经组织
肝、肾、肠等内脏、皮肤、脂肪组织中也较多
肌肉组织含量较低
肾上腺、卵巢等合成类固醇激素的腺体含量较高
存在形式:游离胆固醇
胆固醇酯
四、 胆固醇的合成
(一)合成部位
组织定位:除成年动物脑组织及成熟红细胞外,几乎全身各组织均可合成,以肝、小肠为主。
细胞定位:胞液、光面内质网
(二)合成原料

(三)合成基本过程
1. 甲羟戊酸的合成

2. 鲨烯的合成
3. 胆固醇的合成

(四)胆固醇合成的调节
HMG-CoA还原酶
◆ 酶的活性具有昼夜节律性 (午夜最高 ,中午最低 )
◆ 可被磷酸化而失活,脱磷酸可恢复活性
◆ 受胆固醇的反馈抑制作用
◆ 胰岛素、甲状腺素能诱导肝HMG-COA还原酶的合成
1. 饥饿与饱食
饥饿与禁食可抑制肝合成胆固醇。
摄取高糖、高饱和脂肪膳食后,胆固醇的合成增加。
2. 胆固醇
胆固醇可反馈抑制肝胆固醇的合成。它主要抑制HMG-CoA还原酶的合成。
3. 激素
胰岛素及甲状腺素能诱导肝HMG-CoA还原酶的合成,从而增加胆固醇的合成。
胰高血糖素及皮质醇则能抑制HMG-CoA还原酶的活性,因而减少胆固醇的合成。
甲状腺素还促进胆固醇在肝转变为胆汁酸。
五、胆固醇的转化
胆固醇的母核——环戊烷多氢菲在体内不能被降解,但侧链可被氧化、还原或降解,实现胆固醇的转化。
(一)转变为胆汁酸 (bile acid)(肝脏)
(二)转化为类固醇激素
(肾上腺皮质、睾丸、卵巢等内分泌腺)
(三)转化为7 - 脱氢胆固醇(皮肤)

