磷脂的代谢
上一节
下一节
磷脂

一、甘油磷脂的代谢
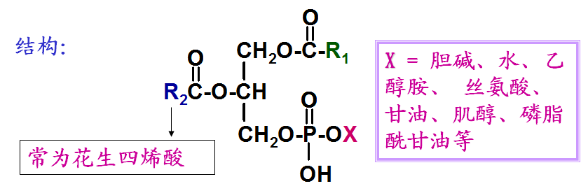
(一)甘油磷脂的组成、结构
组成:甘油、脂酸、磷脂、含氮化合物

功能:含一个极性头、两条疏水尾,构成生物膜的磷脂双分子层。
(二)甘油磷脂的降解 磷脂酶 (phospholipase , PLA)

(三)甘油磷脂的合成
1. 合成部位
全身各组织内质网,肝、肾、肠等组织最活跃。
2. 合成原料及辅因子
脂酸、甘油、磷酸盐、胆碱、丝氨酸、肌醇、ATP、CTP
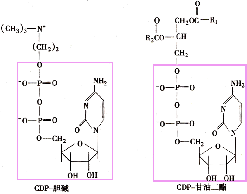
3. 以磷脂酸作前体 ,需胞嘧啶核苷酸以 CDP衍生物形 式作活化载体。
4. 存在两条途径,以磷酸乙醇胺、磷酸丝氨酸(脑磷 脂)为例说明。


利用CDP-二酰甘油的途径

利用CDP-乙醇胺的途径

3. 合成基本过程


二、鞘磷脂的代谢
(一)鞘脂的化学组成及结构
(二)鞘磷脂的代谢
1、鞘氨醇的合成
(1)合成部位
(2)合成原料
(3)合成过程
2、神经鞘磷脂的合成
3、神经鞘磷脂的降解
(一)鞘脂的化学组成及结构

(二)鞘磷脂的代谢
1.合成
(1)部位:脑等(内质网)
(2)原料:软脂酰CoA、丝氨酸、P-吡哆醛、CDP-胆碱等
2.降解
(1)部位:脑、肝、脾等(溶酶体)
(2)酶:神经鞘磷脂酶;属磷脂酶C类

