一、糖异生作用
1.定义:糖异生(gluconeogenesis)是指从非糖化合物转变为葡萄糖或糖原的过程。
2.部位:主要在肝、肾细胞的胞浆及线粒体
3.原料:主要有乳酸、甘油、生糖氨基酸
4.反应历程:
(1)糖异生途径与酵解途径大多数反应是共有的、可逆的;
(2)酵解途径中有3个由关键酶催化的不可逆反应。在糖异生时,须由另外的反应和酶代替。





5.糖异生作用的生理意义
(1)维持血糖浓度恒定;
(2)调节酸碱平衡,避免酸中毒;
(3)协助氨基酸代谢;

6.乳酸循环
(1)乳酸循环的含义 肌肉在缺氧情况下,糖酵解加强,产生大量乳酸,通过细胞膜弥散进入血液并运至肝脏;在肝脏中乳酸通过糖异生作用重新生成葡萄糖,葡萄糖释放进入血液,经血液循环被肌肉利用,如此构成一个循环,称为乳酸循环,也称为Cori循环。
(2)乳酸循环的意义 有利于乳酸的利用、防止酸中毒;同时更新了肝糖原,调节能量代谢平衡。
(3)乳酸循环的过程

二、蔗糖的合成
1.蔗糖合成酶催化途径

2.磷酸蔗糖合成酶催化途径

三、糖原的合成
1.定义:糖原的合成(glycogenesis) 指由葡萄糖合成糖原的过程。
2.部位:组织定位:主要在肝脏、肌肉细胞定位:胞浆
3.反应历程:
(1)活化
①葡萄糖磷酸化生成6-磷酸葡萄糖(磷酸化)

②6-磷酸葡萄糖转变成1-磷酸葡萄糖(异构)

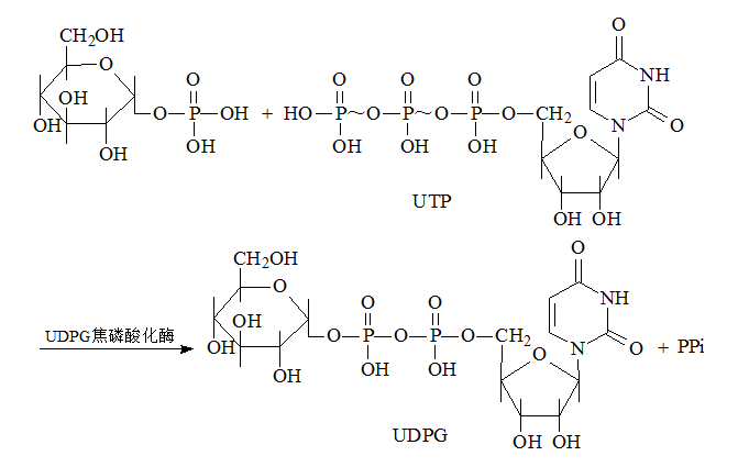
③1- 磷酸葡萄糖转变成尿苷二磷酸葡萄糖 (转形)

④缩合

⑤糖原分枝的形成

4.糖原合成的特点:
(1)必须以原有糖原分子作为引物;
(2)合成反应在糖原的非还原端进行;
(3)合成为一耗能过程,每增加一个葡萄糖 残基,需消耗2个高能磷酸键;
(4)其关键酶是糖原合酶;
(5)需UTP参与(以UDPG为载体)。
5.糖原与支链淀粉合成的区别


