一、mRNA的转录后加工
(一)首尾的修饰
1. 5´-端加帽:m7GpppG——
2. 3´-端加尾:多聚腺苷酸 (poly A)
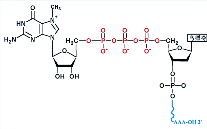
帽子结构

帽子结构的生成

加帽的功能
mRNA 5’加帽的功能主要表现在4个方面:
(1)阻止mRNA的降解:细胞内存在许多RNA酶,它们可从5’端可攻击游离的RNA分子。当mRNA的5’端加上m7GpppG帽子后,可阻止RNase的切割,延长mRNA的半衰期。
(2)提高翻译效率 真核生物mRNA必需通过5’帽结合蛋白才能接触核糖体,起始翻译。缺少加帽的mRNA由于不能被5’帽结合蛋白识别,其翻译效率比加帽的mRNA低20倍。
(3)作为进出细胞核的识别标记 凡由RNA聚合酶II转录的RNA均在5’端加帽,包括snRNA,这是RNA分子进出细胞核的识别标记。U6 snRNA 由RNA聚合酶III转录,其5’端保留3个磷酸基团,无帽子结构,因而不能输出细胞核。
(4)提高mRNA的剪接效率 5’帽结合蛋白涉及第一个内含子剪接复合物的形成,直接影响mRNA的剪接效率。
——3´-端加尾:多聚腺苷酸 (poly A)

(二)mRNA的剪接
1. hnRNA 和 snRNA
◆ 核内的初级mRNA称为杂化核RNA (hetero-nuclear RNA, hnRNA)
◆ snRNA (small nuclear RNA)

断裂基因(splite gene)
真核生物结构基因,由若干个编码区和非编码区互相间隔开但又连续镶嵌而成,去除非编码区再连接后,可翻译出由连续氨基酸组成的完整蛋白质,这些基因称为断裂基因。

2. 外显子(exon)和内含子(intron)
◆ 外显子
在断裂基因及其初级转录产物上出现,并表达为成熟RNA的核酸序列。
◆ 内含子
隔断基因的线性表达而在剪接过程中被除去的核酸序列。

鸡卵清蛋白成熟mRNA与DNA杂交电镜图

3. mRNA的剪接
—— 除去hnRNA中的内含子,将外显子连接。
snRNP与hnRNA结合成为剪接体。
剪接体:是由核内U系5种snRNA(U1、U2、U4、U5、U6)和20多种剪接的蛋白因子构成,催化核内mRNA前体的剪接。


二次转酯反应

二、tRNA的转录后加工




三、rRNA的转录后加工


四、核酶
核酶(ribozyme)
具有酶促活性的RNA称为核酶。

四膜虫rRNA内含子的二级结构
最简单的核酶二级结构——槌头状结构 (hammerhead structure)
核酶研究的意义
☆ 核酶的发现,对中心法则作了重要补充;
☆ 核酶的发现是对传统酶学的挑战;
☆ 利用核酶的结构设计合成人工核酶 。


