
一、嘧啶合成的元素来源

二、嘧啶核苷酸的从头合成
(一)过程
1.先合成嘧啶环,再与在PRPP相连,首先合成 UMP
2. 再由UMP→CMP
1.尿嘧啶核苷酸的生成




2.胞嘧啶核苷酸的生成

(二)合成特点
1.与嘌呤核苷酸合成不同,在合成嘧啶核苷酸时,首先合成嘧啶环,再与磷酸核糖结合,生成尿嘧啶核苷酸,最后由尿嘧啶核苷酸转化为胞嘧啶核苷酸和胸腺嘧啶脱氧核苷酸。关键的中间化合物是乳清酸。
2.合成前体:氨甲酰磷酸(或CO2,NH3)、Asp
二、嘧啶核苷酸的补救合成



三. 核苷酸的抗代谢物
核苷酸的抗代谢物:是指一些人工合成的在结构上分别与嘌呤、嘧啶及其核苷或核苷酸、氨基酸和叶酸类似的化合物。
作用方式:以竞争性抑制的方式抑制核苷酸合成代谢的酶,或“以假乱真”干扰或阻断嘌呤核苷酸的合成代谢,从而进一步抑制核酸和蛋白质的生物合成。
重要的抗代谢物
嘌呤类似物:6-巯基嘌呤(6MP)
叶酸类似物:氨蝶呤、甲氨蝶呤(MTX)
谷氨酰胺类似物:氮杂丝氨酸
1.嘌呤类似物
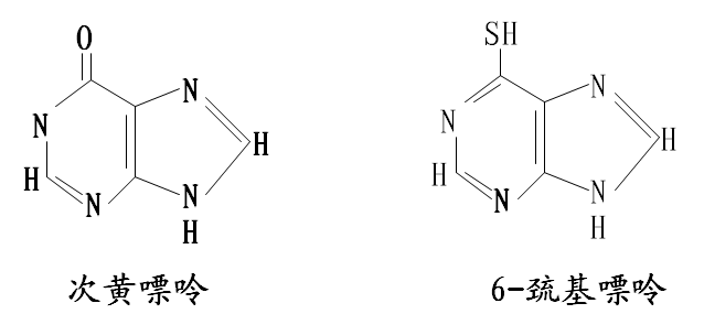
6-巯基嘌呤(6MP)、6-巯基鸟嘌呤、8-氮杂鸟嘌呤
其中, 6MP临床应用较多。其化学结构与次黄嘌呤相似,并可在体内转变成6MP核苷酸,因而可抑制IMP转变为AMP及GMP;可通过竞争性抑制影响次黄嘌呤-鸟嘌呤磷酸核糖转移酶(HGPRT)而阻止补救合成途径;还可反馈抑制PRPP酰基转移酶而阻断从头合成途径。

2.谷氨酰胺和天冬氨酸类似物
重氮杂丝氨酸、6-重氮-5-氧正亮氨酸
其结构与谷氨酰胺相似,可干扰谷氨酰胺在嘌呤核苷酸合成中的作用而抑制其合成。

天冬氨酸类似物--羽田杀菌素,能强烈抑制腺苷酸琥珀酸合成酶的活性。
3.叶酸类似物
氨基蝶呤、氨甲蝶呤(MTX)等
竞争性抑制二氢叶酸还原酶,使叶酸不能还原成二氢叶酸及四氢叶酸。嘌呤分子中来自一碳单位的C2、8得不到供应而抑制其合成。

4.嘧啶类似物 5-氟尿嘧啶

5.核苷类似物
阿糖胞苷
环胞苷

