嘌呤核苷酸的从头合成
上一节
下一节
嘌呤核糖核苷酸的从头合成

(一)嘌呤碱基合成的元素来源

(二)过程
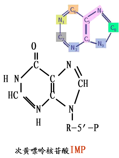
1.在PRPP基础上逐步合成嘌呤环。
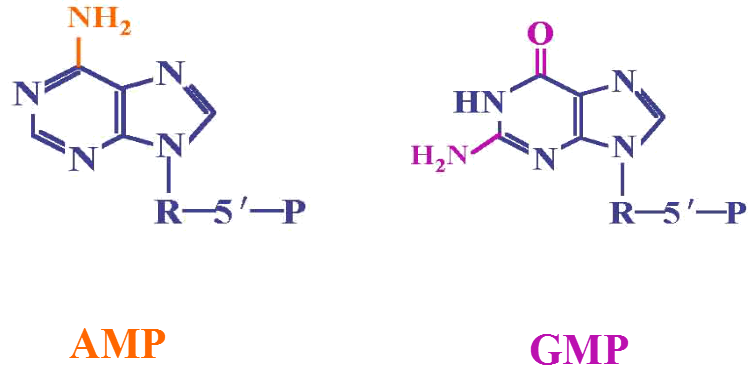
2.首先合成IMP
3.再由IMP 生成GMP和AMP








①腺苷酸代琥珀酸合成酶 ③IMP脱氢酶
②腺苷酸代琥珀酸裂解酶 ④GMP合成酶

(三)嘌呤核苷酸从头合成的特点
合成原料:磷酸核糖、氨基酸、一碳单位和CO2等简单物质
合成部位:主要在肝细胞液
合成过程:是在5-磷酸核糖的基础上逐步合成嘌呤环,而不是首先单独合成嘌呤碱,然后再与磷酸核糖结合的;首先合成次黄嘌呤核苷酸,然后再转变成AMP,GMP
重要的催化酶:PRPP合成酶、PRPP酰胺转移酶

