核酸分子的化学组成
上一节
下一节
核酸是由几十个甚至几千万个核苷酸聚合而成的具有一定空间结构的生物大分子。
基本元素:C、H、O、N、P;
其中P 的含量比较稳定,占9%-10%,通过测定P 的含
量来推算核酸的含量(定磷法)。

一、核酸的基本构成单位:核苷酸(nucleotide)

核苷酸由戊糖、磷酸和含氮碱三部分构成


二、核苷酸的化学组成
1.碱基
(1)嘌呤(Purine)

(2)嘧啶(Pyrimidine)

2.稀有碱基:核酸中也存在一些不常见的稀有碱基。稀有碱基的种类很多,大部分是上述碱基的甲基化产物。


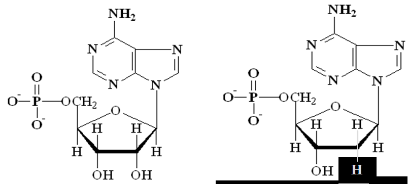
3.戊糖
组成核酸的戊糖有两种。DNA所含的糖为β-D-2-脱氧核糖;RNA所含的糖则为β-D-核糖。

三、核苷酸的结构
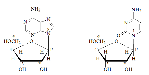
1.核苷


四、核苷酸的分子结构
1.核苷 戊糖+碱基
糖与碱基之间的C-N键,称为C-N糖苷键



2.核苷酸(nucleotide)
核苷+磷酸
戊糖+碱基+磷酸


五、生物体内重要的核苷酸衍生物
1.多磷酸核苷(NDP、NTP)
2.环化核苷酸(cAMP、cGMP等)
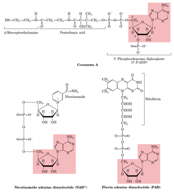
3.辅酶或辅基(NAD、NADP、FAD、CoA等,均含有AMP)
4.活性代谢物(UDPG、CDP-胆碱等)
1. 多磷酸核苷


2.环化核苷酸


六、辅酶类核苷酸
1、NAD NADP 2、FMN 3、辅酶A


七、核苷酸的连接方式






