嘌呤核苷酸的合成代谢
上一节
下一节

一、嘌呤核糖核苷酸的从头合成

(一)嘌呤碱基合成的元素来源

(二)过程
1.在PRPP基础上逐步合成嘌呤环。
2.首先合成IMP
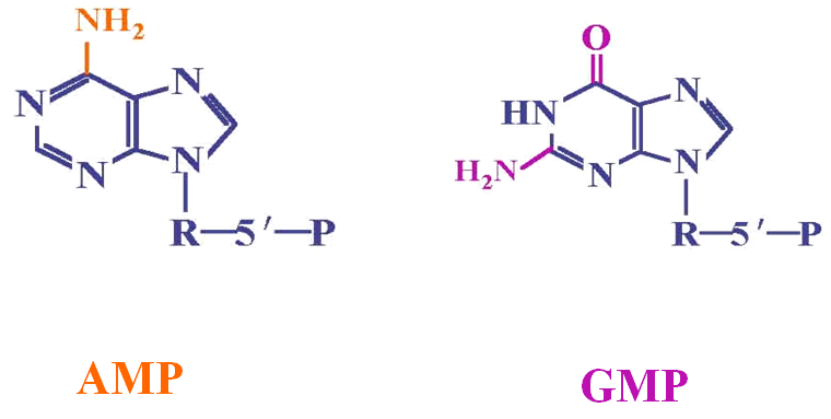
3.再由IMP 生成GMP和AMP
1.PRPP的生成

2.IMP的生成






3.GMP/AMP的生成


(三)嘌呤核苷酸从头合成的特点
合成原料:磷酸核糖、氨基酸、一碳单位和CO2等简单物质 合成部位:主要在肝细胞液合成过程:是在5-磷酸核糖的基础上逐步合成嘌呤环,而不是首先单独合成嘌呤碱,然后再与磷酸核糖结合的;首先合成次黄嘌呤核苷酸,然后再转变成AMP,GMP
重要的催化酶:PRPP合成酶、PRPP酰胺转移酶
二、嘌呤核苷酸的补救合成途径
(一)参与补救合成的酶
1.腺嘌呤磷酸核糖转移酶
(adenine phosphoribosyl transferase, APRT)
2.次黄嘌呤-鸟嘌呤磷酸核糖转移酶(hypoxanthine- guanine phosphoribosyl transferase, HGPRT)
3.腺苷激酶(adenosine kinase)等。
(二)合成过程

(三)补救合成及生理意义
原料:已有的嘌呤碱、嘌呤核苷、PRPP
重要的酶:腺嘌呤磷酸核糖转移酶(APRT)次黄嘌呤—鸟嘌呤磷酸核糖转移酶(HGPRT)
磷酸核糖供体:PRPP
生理意义:节约能量和一些氨基酸的消耗。
有些组织(如脑、骨髓)不能从头合成嘌呤核苷酸,只能进行嘌呤核苷酸的补救合成。
HGPRT完全缺失的患儿,表现为自毁容貌征。
自毁容貌症(Lesch-Nyhan综合症)
▲ 临床表现:智力发育障碍,攻击性性格,肌肉痉挛,强制性自咬唇舌和指尖,尿中尿酸排出量过量,50mg/kg体重/24hr。
▲ 分子基础:HGPRT先天缺陷
▲ (隐性X性链锁遗传)
三、嘌呤核苷酸合成的调节——反馈调节和交叉调节


