一、磷脂:含磷的脂类
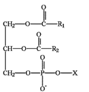
(一)甘油醇磷脂:甘油的第3个羟基被磷酸酯化,其余2个羟基被脂肪酸酯化。
1.重要的甘油醇磷脂
磷脂酰胆碱(卵磷脂)
磷脂酰乙醇胺(脑磷脂)
磷脂酰肌醇
磷脂酰丝氨酸
卵磷脂(lecithin) 别名:软磷脂
卵磷脂被誉为与蛋白质、维生素并列的“第三营养素”,然而,真正了解卵磷脂的人却很少。1844年法国人Gohley从蛋黄中发现卵磷脂(蛋黄素),并以希腊文命名为Lecithos(卵磷脂),英文名为Lecithin,也自此揭开了其神秘的面纱。卵磷脂是生命的基础物质,人类生命自始至终都离不开它的滋养和保护。目前我们食用磷脂的主要来源是大豆磷脂和蛋黄磷脂,通常所说的磷脂泛指大豆磷脂,以大豆磷脂物为主体,并含有中性油和其他非磷脂成分,如色素、糖分、半乳糖苷、脑苷脂类。磷脂是一类脂的统称,含有多种含磷成分,含有卵磷脂(PC)、脑磷脂(PE)、心磷脂 、磷脂酸(PA)、磷脂酰甘油(PG)、缩醛磷脂、溶血磷脂等。
1996年9月在布鲁塞尔召开的第七届卵磷脂国际会议上,医药学家和营养学专家们研讨证实,卵磷脂(大豆磷脂)作为营养品,在增进健康及预防疾病方面所起到的重要的作用。卵磷脂的功效:
1、是肝脏的保护神; 2、对心脏健康的积极作用;
3、促进大脑发育,增强记忆力; 4、是血管的“清道夫”
5、是糖尿病患者的营养品 6、能有效地化解胆结石
7、是胎、婴儿神经发育的必需品 8、可消除青春痘、雀斑并滋润皮肤
9、可预防老年痴呆症的发生 10、是良好的心理调和剂
※磷脂酰胆碱(卵磷脂)由磷脂酸中的磷酸基和胆碱的羟基脱水生成的。不饱和脂肪酸位于C-2位。功能:构成生物膜的主要成分,协助脂肪运输,缺乏会导致脂肪肝。

※磷脂酰乙醇胺(脑磷脂)由磷脂酸中的磷酸基和乙醇胺的羟基脱水生成的。功能:构成生物膜,磷脂酰乙醇胺与血液凝固有关。凝血激酶是由磷脂酰乙醇胺与蛋白质组成的。


2.甘油磷脂的一般性质
(1)带电性
在生理pH(7左右)
时,甘油磷脂分子的磷
酸基带1个负电荷(pKa ’=1~2);
胆碱或乙醇胺带1个正
电荷;(是细胞膜最丰
富的脂质)
(2)水解情况
甘油磷脂的酯键和磷酸二酯键能被磷脂酶(phospholipase)专一地水解。这些脂酶根据所水解的部位不同分别命名为磷脂酶A1,A2,C和D;
磷脂酶A1广泛分布于生物界;
磷脂酶A2主要存在于蛇毒,蜂毒和哺乳类胰脏(酶原形式);
磷脂酶C来源于细菌及其他生物组织;
磷脂酶D存在于高等植物中。

(二)鞘磷脂(鞘氨醇磷脂类)

另一个保湿剂—神经酰胺!
神经酰胺是由神经鞘氨醇长链碱基与脂肪酸组成神经鞘氨脂质一种。1884年德 国 医师Thudichum发现人脑中存在神经鞘氨脂,之后又发现在动物、植物及一部分微生物中也有分布。1906年,Winterstein报道小麦中存在半乳糖神经酰胺,同时对植物中存在糖脂质进行研究。
以前主要是从动物脑中,如牛脑中提取丰富神经酰胺,但自1986年“疯牛病”发生以来,动物来源神经酰胺制品已被植物性神经酰胺所替代。植物神经酰胺主要存在于玉米、大豆、大米、小麦等植物中。目前国内有公司能够大量供应玉米神经酰胺,含量可高达10%。
主要作用: 1.屏障作用 2.粘合作用 3.保湿作用 4.抗肿瘤作用5.抗病毒作用6.抗菌作用
3. 鞘磷脂
神经酰胺的C1上的-OH与极性集团相连构成

磷酰胆碱鞘磷脂(头部是磷酰胆碱)
4.脑苷脂类
神经酰胺与一分子β单糖分子相连,极性头部是单糖分子

葡萄糖脑苷脂(极性头部是β葡萄糖)

