列车旅行速度
上一节
下一节


列车速度指标包括列车运行速度、列车技术速度和列车旅行速度。

列车在区段内运行,不包括中间站停站时间及加减速附加时分在内的平均速度;



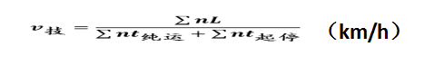
列车在区段内运行,不包括中间站停站时间,但包括加减速附加时分在内的平均速度;



列车在区段内运行,包括在中间站停站时间和加减速附加时分在内的平均速度。


列车在技术站的停站时间,在计算这三个指标的时候,是都不包括进来的。



1、客货列车行车量
2、停站次数和停站时间
3、客货列车速度变化
4、车站分布
5、车站间隔时间


