目录

  • 1 第1次课
    • 1.1 第一讲 金融衍生品简介(1)
    • 1.2 货币的时间价值
  • 2 第2次课:第二讲  远期
    • 2.1 远期合约定价
  • 3 第3次课
    • 3.1 远期利率协议
  • 4 第4次课
    • 4.1 习题课
  • 5 第5次课
    • 5.1 国庆放假
  • 6 第6次课:第三讲 期货
    • 6.1 期货(一)
  • 7 第7次课
    • 7.1 期货(二)
  • 8 第8次课
    • 8.1 习题课
    • 8.2 讨论
  • 9 第9次课
    • 9.1 二叉树期权定价方法(一)
  • 10 第10次课
    • 10.1 二叉树期权定价方法(二)
  • 11 第11次课
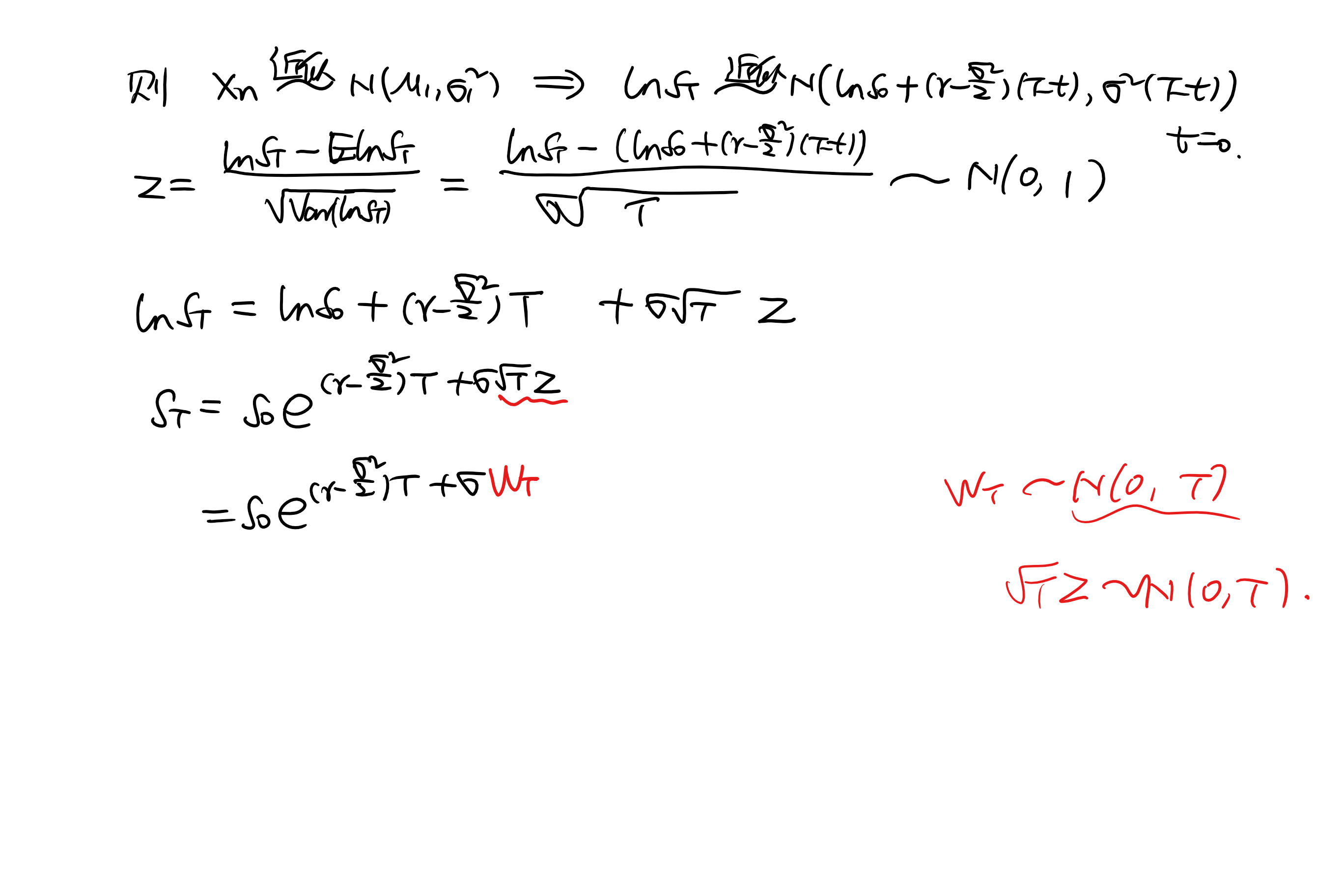
    • 11.1 Black-Scholes公式
  • 12 第12次课
    • 12.1 二叉树和B-S模型关系
    • 12.2 期权定价和希腊字母
  • 13 第13次课
    • 13.1 讨论
  • 14 第14次课
    • 14.1 习题、讨论
  • 15 第15次课
    • 15.1 测验
二叉树和B-S模型关系