-
1 知识点
-
2 课件
-
3 课堂练习
-
4 课后巩固
好氧生物处理在自然界中的“原型”为水体的自净作用,在水中氧气充分的条件下时,好氧微生物(含兼性微生物的好氧代谢过程)能够发挥主要作用,将有机物彻底降解为无机物,但对于高浓度、难降解的有机物则很难利用。按照处理中微生物生长的方式,可以分为悬浮生长型和附着生长型,前者为活性污泥法,后者为生物膜法,此外随着地表水处理“原位修复”理念的提出,逐渐发展出通过生态修复技术重建或恢复水生生态系统自净能力的自然生物处理,即稳定塘(又名生物塘)和土地处理系统。
5.1.1好氧生物处理原理
污水的好氧生物处理是产生最早,应用广泛的水处理技术。近代最早出现的污水集中处理工程是1914年英国曼彻斯特污水处理厂,采用的就是活性污泥法这一好氧生物处理技术,百余年来好氧生物处理在实际生产上不断应用于不同水质类型、不同处理条件污水和技术上的不断革新,近几十年来在对其生物反应和净化机理进行深入研究的基础上,好氧生物处理在理论和工艺方面都取得了长足的发展,出现了各种适应各种水质、条件的工艺流程。
一、参与好氧生物处理的微生物
参与好氧生物处理的主要是好氧的化能异养细菌,此外还有兼性的原核微生物和好氧的原生动物和微型后生动物。
化能异养型是以有机物作为能源和碳源的微生物营养类型,这些微生物在生物催化剂酶的作用下,通过自身的代谢(生化反应)作用分解有机物以获取碳源和能量,供自身生长和繁殖,在这个过程中有机物被分解称为CO2、H2O等无机物,水质得到净化。很多兼性微生物在有氧气存在的条件下也会进行有氧呼吸,进行好氧代谢,分解有机物。
大部分的原生动物和所有的微型后生动物都是异养的,以固态有机物颗粒和细菌等低等生物食,进行有氧呼吸。原生动物和微型后生动物对于水处理的意义主要在于:1是构成水中微生物生态系统的重要部分,通过吞食低等微生物(如细菌)保持其降解活性;2是水处理的指示生物,原生动物和微型后生动物都对环境变化敏感,不同的水质环境中会出现不同的原生和微型后生动物,如在相对缺氧和水质较差的环境中常出现原生动物草履虫(游泳型纤毛虫)和微型后生动物线虫;在水质相对较好,泥水分离效果好时出现原生动物钟虫(固着型纤毛虫),是指示水质状态和水处理程度的典型指示生物。
二、微生物的好氧代谢与污水的生物处理
微生物对有机物降解作用的实质是微生物对有机物的代谢作用。从微生物的角度来看,微生物以有机物作为营养物质,细胞物质不断合成又不断消耗,新细胞的诞生是水中有机物转移至生物体内的过程,微生物的死亡过程则是营养物质转移至环境的过程。微生物通过复杂的生物化学反应将摄取的营养物质分解,获取能源又合成自身细胞(增殖或繁殖)的过程即为新陈代谢。根据代谢过程所处氧环境,可分为好氧代谢和厌氧代谢,本节首先介绍好氧代谢。
1.好氧代谢
代谢的过程实质上是由分解代谢(产能代谢)和合成代谢组成的,前者是微生物分解营养物质获取能源的过程,后者是微生物利用分解所得化合物和能量进行自身增殖或繁殖的过程。代谢过程伴随着电子和氢原子的转移,好氧处理从微生物氢受体的类型来看,是以分子氧作为电子受体/受氢体的,这也是好氧处理和厌氧处理的根本区别。好氧代谢的分解代谢起始点(底物)一般为蛋白质、多糖类、脂类和烷烃;合成代谢的最终产物一般为蛋白质、多糖和脂类。
(1)好氧分解代谢
以最简单的葡萄糖的分解代谢为例,1mol葡萄糖通过好氧分解反应如式5-1所示:
C6H12O6+6O2→6CO2+6H2O+能量 (式5-1)
1mol葡萄糖经过酵解(生成丙酮酸)和三羧酸循环(TCA循环)能够产生约32mol三磷酸腺苷(ATP),ATP是生物体内的能量物质,通过转化为二磷酸腺苷(ADP)释放能量。如果是多糖,还会经历水解过程成为单糖,水解、酵解和三羧酸循环是所有有机物好氧分解代谢的必经三阶段。好氧分解代谢是一种获得能量最多的产能代谢方式,获得的产物为无机物,是一种彻底的有机物分解方式。
(2)好氧合成代谢
三羧酸循环是好氧分解代谢的终点,也是好氧合成代谢的起点。利用微生物在分解代谢中产生的一系列中间产物和直接从水中获取的小分子物质合成自身细胞物质(蛋白质、多糖和脂类等)。好氧的异养微生物合成代谢和分解代谢的总反应如式5-2所示。
![]()
(3)分解代谢与合成代谢的关系
微生物的分解代谢为合成代谢提供能量和物质,合成代谢为分解代谢提供催化剂(酶)和反应器,两种代谢相互依赖,相互促进,不可分割,共同组成微生物的新陈代谢过程,如图5-1所示。有学者对活性污泥法曝气池中的有机物氧化分解进行了研究,提出分解代谢与合成代谢之间的数量关系为2:1。

图5-1中2/3的有机物被微生物用于合成细胞物质,而通过内源代谢反应,其中80%被分解为无机物质并产生能量,20%使不能分解的残留物,它们主要是由多糖、脂蛋白组成的细胞壁中的某些组分和细胞壁外的黏液层。这里的内源代谢反应也称为内源呼吸,是在外源性营养物质被消耗殆尽的情况下,微生物通过对其内部自身细胞物质进行分解代谢以获取能量的反应,反应过程如式5-3所示。

其中C5H7NO2为微生物细胞组成通式。
3.污水的好氧生物处理
利用微生物代谢作用使污染物转化为细胞物质和无害的代谢产物的过程叫做污水的生物处理。在有分子氧的条件下,好氧和兼性微生物降解水中污染物的过程叫做污水的好氧生物处理。污水中的污染物(可被生物利用部分)是好氧微生物的营养,代谢产物是无机物,所以好氧处理是可以将有机物彻底分解的污水无害化技术。
(1)微生物在生物处理过程中的状态
参与好氧生物处理的主要使细菌,细菌在处理设施中存在形式有两种:悬浮式和附着式,前者为活性污泥法,细菌在其表面黏性物质作用下相互黏聚,形成菌胶团,菌胶团上共生其他微生物(真菌、藻类、原生动物和微型后生动物),这种由微生物和固体杂质构成的混合体叫活性污泥;后者为生物膜法,细菌等微生物黏聚固着在固体表面,形成膜状,其中也会共生其他微生物,交织固体杂质,即生物膜。在自然生物处理的稳定塘中也会存在大量游离态的微生物。
(2)有机物的降解和转移
通过好氧微生物的代谢作用,有机物的降解过程如图5-3所示。

图5-3 有机物好氧代谢示意图
有机物在好氧微生物作用下被彻底分解成无机物,但是部分被微生物利用又形成了微生物的细胞物质,这部分有机物相当于被转移到微生物体内,通过微生物的增殖体现出来,因此在利用微生物进行生物处理时,不仅要考虑有机物转移到微生物体内(污水中有机物浓度的降低),还要考虑将这部分增殖的微生物通过固液分离的方式与水分离,这部分微生物在活性污泥法中被称为剩余污泥,一般通过生化池后的二沉池以沉淀方式去除;在生物膜法中,这部分微生物以脱落的老化生物膜形式出现,在生物量大的接触氧化法和生物转盘等设施后设二沉池去除。
三、微生物的生存条件和群体生长规律
好氧生物处理就是围绕着好氧分解代谢和好氧合成代谢这两个过程进行的,研究这两个过程的影响因素和规律对于水处理技术原理的理解和运行状态的调节十分重要。
1.微生物的生存条件
影响微生物代谢的因素主要有:营养、温度、pH值、溶解氧和有毒物质等。
(1)营养
营养是微生物生长代谢的物质基础,其生命活动所需的能量和物质均来源于此。可通过微生物的细胞组成来分析微生物生长所需要的营养元素。微生物的细胞组成(不包含H2O和无机物)通式可用C5H7NO2或C60H87O23N12P表示。因此在污水生物处理时,应按各元素的比例调节污水水质,向微生物提供营养,其中最重要的是C、N、P三种元素的比例。不同类型微生物的细胞组成不尽相同,对C、N、P元素比例的要求也不完全相同,好氧微生物要求BOD5:N:P=100:5:1[或CODCr:N:P=(200~300):5:1]。
根据微生物营养类型的不同,其对碳、氮、磷需求的形式也不同,如异养菌需要有机物为碳源,而自养菌以CO2或无机物作为碳源,表5-1列出了不同微生物营养来源类型。

营养物质(底物)对微生物生长的影响可以从酶促反应角度来理解,对于代谢着这种生物化学反应,酶和底物之间的关系是,当酶浓度一定时,底物浓度越多,生化反应速率越快,但是超过一定的限度后(酶的活性位点全部被底物占据),底物浓度再增加,生化反应速率也不会再增加了。类似的,当底物浓度一定时,酶浓度增加,生化反应速度加快,超过一定限度后,酶浓度再增加,生化反应速度也不会再增加了。
(2)温度
微生物种类不同,能够生存温度不同,总体来说,各种微生物总体生存温度再0~80℃之间。能够让微生物保持较高代谢速度的温度范围为最适生存温度范围,能够让微生物保持最低代谢速度(存活)的温度范围为生存温度范围。根据微生物的最适生存温度范围可以将微生物分为嗜低温菌(0~20℃)、嗜中温菌(20~40℃)、嗜高温菌(45~65℃)。好氧生物处理的微生物以嗜中温菌为主,其生存温度范围再5~50℃之间。因此好氧生物处理一般可以在常温下进行,受气候影响相对较小。
温度对生化反应速率的影响同样可以通过温度对酶促反应的影响来理解。在酶结构不被破坏(酶的本质是蛋白质)的前提下,温度每升高10℃,酶促反应的速度就提高1~2倍,但是温度过高,会导致酶发生不可逆的失活,所以微生物生化反应速率在温度的双重影响下,呈现图5-4的趋势(以嗜中温菌为例)。

(3)pH值
pH值对酶促反应的影响体现在两个方面:一是对水中离子和酶存在形态的影响(酶是一种两性电解质),从而影响底物和酶的结合;二是过高或过低的pH值会影响酶稳定性(酶的蛋白质本质)。不同微生物有不同的酶系统,就有不同的pH值最适范围。细菌、藻类、放线菌和原生动物的pH值适应范围是pH=4~10;酵母菌和霉菌的最适pH值范围为3.0~6.0。pH是影响酶促反应的重要因素,在生物处理中保持最适pH值十分重要,否则容易造成降解活性的降低或丧失,导致处理事故或失败。对好氧处理来说进水pH值的波动需要注意消除;对厌氧处理来说除了进水,在厌氧消化过程中部分微生物代谢产物也能够引起pH值得变化。
(4)溶解氧
好氧微生物的代谢过程以分子氧作为电子受体,并参与部分物质的合成,所以没有分子氧,好氧微生物无法进行代谢活动。在好氧生物处理过程中,保持充分的溶解氧十分必要,供氧不足容易导致适合低溶解氧生长的微生物(如微量好氧的发硫菌)和兼性微生物大量繁殖,这些微生物对有机物的分解不彻底,处理效率下降;同时在悬浮型工艺中这些微生物沉降性能差(污泥膨胀),往往随出水流出,造成出水有机物含量增加,水质超标。但溶解氧过高也会导致能耗增加。为取得良好的处理效果,悬浮型好氧生物处理工艺的溶解氧应控制在2~3mg/L(二沉池出水0.5~1mg/L)。
(5)有毒物质
对微生物有抑制或毒害作用的化学物质叫有毒物质。它能破坏细胞结构,使酶变性而失去活性。如金属能使酶发生不可逆的变性而失去活性。有毒物质在低浓度时对微生物无害,某些有毒物质在低浓度时也可以是微生物的营养,浓度超过一定数值则发生毒害作用。有毒物质的毒性受pH值、温度和其他有毒物质等因素的影响,在不同条件下毒性相差很大,不同微生物对同一有毒物质耐受能力也不同,具体应在处理前根据小试试验确定。
2.微生物的群体生长规律
同一种微生物在不同的生长条件下细胞的增殖速度不同,说明细胞的增殖速度与环境条件之间存在的某种联系即为微生物的生长规律。一般固定温度、pH值等条件不变,通过改变底物浓度,研究微生物增殖与营养物质浓度之间的关系,表示它们之间关系的曲线即微生物的生长规律,但是对于水处理而言,研究微生物个体增殖规律的意义不大,一般会研究微生物群体生长规律(数量、个体形态)与营养物质浓度之间的关系,即微生物群体生长规律。根据微生物群体培养过程中营养物质是一次性供给还是连续供给分为序批式培养规律和连续式培养。
(1)序批式培养规律
序批式培养是指在微生物培养过程中营养物质是一次性供给的,随着时间的推移,营养物质逐渐被微生物分解,浓度降低直至消耗殆尽。在这样的培养形式下,微生物群的生长曲线如图5-5所示。横坐标为培养时间,纵坐标为微生物数量用对数表示。


图5-5 序批式培养细菌生长曲线示意图
你能通过回忆《环境微生物》中有关内容,完成下面关于序批式培养细菌四个生长阶段的描述填空吗?
(2)恒化连续培养与水处理
连续培养是在一个非封闭的体系中接种微生物,并通过不断补充营养物质、抑制不利影响,优化微生物的生长环境,并不断收集培养产物的培养方式。具体根据培养目标不同又可分成恒浊连续培养和恒化连续培养。
恒浊连续培养:是控制体系中微生物的总量不变(通过浊度检测菌液浓度)的连续培养,主要目的是获得菌体代谢产物,常用于发酵工业。
恒化连续培养:是控制体系中营养物质浓度不变的连续培养方式,微生物始终在相对稳定的条件下进行代谢,微生物数量不断增加。
水处理的过程是一个恒化连续培养的过程,通过条件控制为微生物提供最佳的生存环境,以相对高的代谢速率进行有机物的降解,微生物数量不断增加,以剩余污泥形式排出。水处理过程中也可以通过条件控制将微生物群体停留在停滞期、增长期、静止期和衰亡期中的任何一个阶段,以达到不同的处理目的。
四、污水的可生化降解性
污水的可生化降解性是其中污染物能够被有机物降解的难易程度,是污水中所有污染物被微生物发生作用的综合反应。污水的可生化降解性主要取决于污水的水质,如有机物的种类、有毒有害物质的浓度、营养物质的比例等等,在进行生物处理前需要通过可生化降解性的评价判断其是否需要通过预处理,改善水质以适于被微生物分解利用。
1.污水可生化性的评价
一般使用BOD5与CODcr的比值来评价污水的可生化降解性,称为B/C。用BOD5近似代表污水中能被为生化反应氧化分解的部分(可降解部分),用CODcr近似代表水中有机物的总量。简单来说B/C比就是水中可降解有机物占有机物总量的百分比。
一般B/C<0.3,表示污水不能直接应用生化法处理,B/C>0.3表示污水可以使用生化发处理,B/C>0.45表示污水易于被生物处理。
B/C只能近似代表污水的可生化降解性,其使用过程中需要注意以下几点:
a.固体有机物:有些固体有机物可在COD测定中被重铬酸钾氧化,以COD的形式表现出来,但是在BOD5测定时对BOD5贡献很小,不能以BOD5的形式表现出来,而实际上这部分固体有机物是可以通过生物絮凝作用和生物降解作用被去除的,这些因素导致了测定的B/C小于实际值。
b.无机还原性物质:污水中的无机还原性物质可以在BOD5和CODCr的测定中消耗溶解氧。同一种无机还原性物质在两种测定种消耗的溶解氧不同,导致B/C测定误差,通常是偏小。
c.特殊有机物:有些有机物比较特殊,能够被微生物部分氧化,确不能被重铬酸钾氧化,会导致B/C偏高。
d.BOD5/TOD:TOD比CODCr更能准确代表水中有机物的含量,如有条件可使用。
e.接种微生物的驯化:在测定BOD5时是否采用驯化过的菌种对测定结果影响很大。采用未经驯化的微生物,其对污水中有机物的降解效率低,BOD5值不高,B/C较低;采用驯化后的微生物,其对污水中有机物的降解更接近真实水处理的状态,因此更有参考价值。
6水样稀释:测定BOD5时往往需要对原水进行稀释,因为对微生物有毒害作用的物质在不同浓度时对微生物的危害不同,所以稀释比对测定结果影响很大。合成有机物、无机盐、硫化物和SO42-等在浓度高时才对微生物有毒害作用,如果测定含这些物质的水样使用稀释接种法测定BOD5,仅从测定结果来看,就会得出B/C较高的结论,而这是错误的结果,这些物质需要通过预处理去除。
2.改善污水可生化性的途径
对于B/C比低的污水必须要通过水质调节提高污水的可生化降解性,B/C高的污水有时也需要通过水质调节进行反应条件优化,以确保较高的去除率或良好的出水水质。
(1)调节营养比
好氧生物处理要求的C、N、P比为BOD5:N:P=100:5:1,某些工业废水营养不全(如石化废水、造纸废水和酒精废水缺少N、P,洗涤剂废水缺少N),应认为投加营养物质调节营养比例。按照以废治废的原则,可以投加生活废水、食品废水或屠宰污水以全面补充营养;也可投加米泔水和淀粉浆以补充碳源;投加尿素、铵盐和硝酸盐补充氮源;投加磷酸盐补充磷源;投加粪便水、泡豆水等有机氮源和磷源。
(2)调节pH值
好氧生物处理示意的pH值范围为6.5~8.5,可采用以下措施控制进水pH值。
a.调节池调节进水pH值:使用均质调节池对进水水质的波动进行均和调节,使pH值稳定在适宜范围内再进入好氧生化反应池;
b.酸碱中和调节进水pH值:通过向水中投加酸、碱性污水和酸、碱性药剂进行pH值的调节;
c.用碱性物质控制反应混合物的pH值:好氧处理时如果金属中含有较多的还原态S、N、P,则会产生H2SO4、HNO3和H3PO4,使pH值下降。对于这种污水可以通过再水中加入CaO、Na2CO3等碱性物质增加水质碱度的方式,对反应过程中产生的酸性物质进行中和,以避免反应过程中酸性物质的积累,影响处理效率。
(3)预处理
絮凝沉淀、吸附、化学沉淀、离子交换、生物水解、稀释、湿式氧化、吸附等预处理可以去除或稀释污水中的有毒物质和盐类,改善污水的可生化性。
5.1.2活性污泥法
好氧活性污泥法是应用最为广泛的有机污水处理方法,是以好氧的活性污泥为主体的悬浮型好氧生物处理技术。
一、活性污泥法基本原理
1.活性污泥
以好氧细菌为主的好氧微生物生长繁殖并聚集在一起形成菌胶团,在菌胶团上共生着其他原生动物和微型后生动物,并吸附和交织着固体杂质颗粒而形成的具有有机物降解能力和一定沉淀性能的絮凝体就是活性污泥。
2.活性污泥法基本流程
活性污泥法基本流程如图5-6所示。

你能根据活性污泥法基本流程图和好氧生物处理原理完成下面关于活性污泥法工艺流程的描述填空吗?
3.活性污泥法的净化过程
具体来说活性污泥降解有机物是分阶段进行的,依次为吸附阶段、稳定阶段和混凝阶段。
(1)吸附阶段
活性污泥具有巨大的表面积,表面上含有很多多糖类黏性物质,使得活性污泥具有良好的吸附性能。污水与活性污泥混合初期,污水中呈悬浮和胶体状态的机污染物首先被吸附转移到活性污泥表面,此为吸附阶段。
该阶段进行得很快,一般在混合开始后的30min之内完成。由于其对悬浮和交替状态的有机物去除效率可达70%,因此也被称为“初期吸附去除”作用。
该阶段反应速度取决于以下几个方面:1微生物的活性程度;2反应器内水力条件。前者决定了活性污泥的吸附、凝聚作用;后者决定了活性污泥絮状体与有机污染物的接触程度。一般处于内源呼吸期“饥饿”状态的活性污泥具有最强的活性,吸附能力也最强。
(2)稳定阶段
被吸附在活性污泥表面的有机污染物被微生物分解转化成无机物和自身细胞物质的过程即稳定阶段,也称为代谢阶段。
由于溶解态的有机物能够直接被微生物利用,因此无需经过吸附阶段,而是通过扩散作用可以直接被活性污泥利用。稳定阶段需要的时间相对较长,尤其是固体和胶体物质的稳定需要更长的时间。
(3)混凝阶段
经过了稳定阶段的泥水混合物进入二沉池后,在相对稳定的水力条件下,活性污泥颗粒由于微生物释放出的黏性物质(贮藏营养物质)而相互凝聚呈大颗粒絮体,这个阶段即混凝阶段,亦即泥水分离过程。混凝阶段吸附和挟带污染物共同沉淀,使污染物得以从水中分离。如果混凝阶段固液分离效果不佳,出水水质就会受到影响。
吸附阶段、稳定阶段和混凝阶段共同作用的结果使得污水得到净化,有机污水含有的污染物以溶解性有机物为主,所以稳定阶段的最用尤为重要。
4.活性污泥法的性能指标和常用运行参数
为获得良好的净化效果,应使活性污泥在保持一定活性的基础上具有良好的沉降性能。评价活性污泥状态的参数主要有污泥浓度、污泥沉降比、污泥体积指数、泥龄等,此外还有一些活性污泥工艺重要的运行参数也在这里进行介绍。
(1)污泥浓度
污泥浓度是指单位体积泥水混合液种含有的悬浮固体量(MLSS)或挥发性悬浮固体量(MLVSS),单位为mg/L或g/L。在活性污泥曝气池种一般控制MLSS=3~4g/L。
MLSS为混合液种无机物、非活性有机物和活性污泥的总浓度;MLVSS是挥发性有机物浓度(MLSS经过高温灼烧较少的部分)。虽然污泥浓度不等于活性微生物浓度,但在它们之间有着稳定的相关性,所以可以用污泥浓度间接代表活性微生物的含量。在其他条件不变的情况下,污泥浓度越高,活性微生物浓度也越高,净化效果越好。
(2)污泥沉降比(SV)
污泥沉降比指活性污泥混合液静置30min,所得污泥层体积与原混合液体积之比(%),可用式5-4表示。

混合液沉降30min所得污泥层的密度接近最大密度,因此用30min的沉降比近似表示完全沉降时的沉降比。
沉降比的大小与污泥的沉降性能、污泥浓度有关,但相关性较为复杂。污泥浓度(MLSS)相同的混合液,污泥沉降比越大,说明絮体越松散,污泥的沉降性能就越差;污泥沉降性能相同的混合液,污泥沉降比越大,污泥浓度就越大。所以对于特定的活性污泥系统可以用测定过程简单的沉降比来表示混合液的污泥浓度,并以此控制污泥回流量和剩余污泥的排放量。通常,污泥沉降比的正常范围为15~30%。
(3)污泥体积指数(SVI)
污泥体积指数简称污泥指数,是指曝气池混合液静置沉淀30min所得的污泥层中,单位质量的干污泥所具有的体积,单位为mL/g,常省略,可用式5-5计算。

污泥体积指数可以理解为1g干污泥在其沉降30min的污泥层中所占的体积大小。污泥指数反应了活性污泥的密实性和沉降性能,SVI值越高,说明污泥越松散,沉淀性能越差,甚至已经出现污泥膨胀;如果SVI值过低,则说明污泥细小密实,含无机物较多,已经老化,此时虽然有较好的沉降性能,但污泥的讲解活性和吸附性能都很差。一般来说城市生活污水的SVI值控制在50~150范围内为宜。SVI值是判断活性污泥法工艺是否出现污泥膨胀的重要参数。
(4)泥龄(θc、SRT)
活性污泥系统正常运行的重要条件之一是必须保持曝气池内稳定的污泥量(MLSS)。活性污泥降解有机物的结果是曝气池中污泥量的增加。此外在污泥增长的同时,伴随着微生物的老化和死亡,若不及时排出会导致活性污泥整体降解活性的下降。所以,每天必须从系统中排出与增长量相同的活性污泥量,即剩余污泥,以保持污泥量和降解活性的稳定。
活性污泥排放量越大,系统内污泥更新得就越快,污泥在系统内的停留时间就越短。反应系统内微生物全部更新一遍所需的时间(即活性污泥的平均停留时间SRT)叫泥龄,用θc表示,单位为天(d),可用式5-6计算。
![]()
式中:V——曝气池反应区容积,m³;
cx——曝气池混合液污泥浓度,kgMLSS/m³;
Qw——剩余污泥流量,m³/d;
cxr——剩余污泥污泥浓度,kgMLSS/m³。
简单来说就是池内总污泥量与每日排出的剩余污泥量之比,近似表示整个反应器内污泥更换一遍所需要的时间。通过控制剩余污泥量控制泥龄比较方便,世代时间长的微生物(如硫化菌20℃时时代时间为3d)就无法在系统内形成优势菌种属,进而影响活性污泥去除效果和沉降性能。
出水水质和泥龄的关系可以从活性污泥停留时间角度考虑,泥龄越长即活性污泥在池中的停留时间越长,出水水质越好,但是泥龄长意味着污泥老化程度会增加,降解活性会降低,所以也不能无限延长。泥龄过短时微生物浓度低,营养相对丰富,细菌生长很快(类似对数增长阶段),但絮凝沉淀性能差,易流失,出水水质较差。一般好氧活性污泥法泥龄采用3~10d。
(5)水力停留时间(θ、HRT)
水力停留时间是指水在处理系统中的停留时间,单位可以用h也可以用d。可用式5-7表示。
![]()
式中:V为曝气池有效容积;
Q为污水的流量。
水力停留时间越长,活性污泥与污水中的有机污染物接触时间越长,处理越彻底。但在同样的处理量要求下,过长的停留时间要求更大的池容,这是不经济的,增加了水处理的固定成本(投资成本);或者在不改变池容的前提下,需要减少污水流量,才能延长停留时间,这意味着处理能力的下降。
(6)水力负荷
水力负荷是指单位曝气池体积在单位时间内所处理的污水量,单位是m³污水/(m³池容·d),简写成m³/(m³·d)。
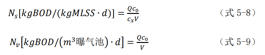
(7)污泥负荷
污泥负荷包括质量负荷(Ns)和容积负荷(Nv),前者是单位质量活性污泥所处理的污水有机物(用BOD表示)量,用式5-8表示;后者是单位体积池容需要处理的污水有机物量,用式5-9表示。

式中:c0为原污水中有机污染物的浓度,以BOD计,kg/m³。
污泥负荷与污水处理效率、活性污泥特性、污泥生成量以及氧的消耗量有很大关系。污泥负荷也会影响活性污泥絮凝和沉降性能。
(8)污泥回流比
如果忽略出水所夹带的部分污泥、剩余污泥排放量和污泥增长量都不计入,则在稳定情况下,进入二沉池的污泥量等于污泥回流量。那么污泥回流比(r)用式5-8表示:
![]()
式中:Qr——回流污泥流量,m³/h;
cxr——回流污泥浓度,kgMLSS/m³。
通过式5-7可知,通过调节污泥回流比,即可以控制曝气池中混合液的污泥浓度。根据所要求的曝气池混合液污泥浓度cx和测得的回流污泥浓度cxr即可易求得污泥回流比。一般污泥回流比在20~50%之间。
二、活性污泥法基本运行方式
按混合液的流动状态和混合方式不同,总体上可以将活性污泥法分为推流式和完全混合式两类。最早出现的运行方式是推流式,之后发展出完全混合式,接着在这两种池型基础之上又发展出很多新的运行方式。
1.推流式活性污泥法
推流式活性污泥法曝气池为矩形,污水由一端进入,推流式流过整个曝气池后从另一端流出,如图5-7所示。

污水的净化过程的吸附和稳定阶段在同一池中完成。池中有机物浓度沿进水方向逐渐降低,需氧量也沿进水方向逐渐降低。进口处微生物处于对数增长期,出口处微生物处于静止期或衰亡期,污泥从进口至出口几乎经历了所有生长阶段。推流式活性污泥法最大的优点式处理效率高,出水水质好,但也存在以下问题。
a.耐冲击负荷能力差:因为水的流态式推流式,所以进水没有得到充分的混合稀释,水质的波动对池中微生物的影响就会非常明显,一旦有高浓度进水冲击负荷或者是瞬间高浓度的有害物质,进口处的活性污泥的代谢活动将会受到抑制,甚至直接死亡,从而使得系统中生物量降低,影响处理效果。
为解决这个问题,发展出分段进水推流式活性污泥法,如图5-8所示。

通过分阶段布水,解决了进水口负荷过高的问题,也沿池长方向分担了冲击负荷,有助于解决推流式活性污泥法耐冲击负荷能力差的问题。
2能耗大:曝气池的需氧量沿进水方向逐渐较少,但空气沿该方向确是均匀分布的,这就造成了前端氧气供应不足,甚至出现局部缺氧状态,影响活性污泥性能,后端氧气过剩的状况。
为解决这个问题,发展出渐减曝气推流式活性污泥工艺,如图5-9所示。通过不均匀曝气,在不提高充氧量的条件下,解决了前端缺氧后端过剩的问题。分段进水也能通过不均匀布水缓解负荷不均的问题。

2.完全混合式活性污泥法
完全混合式活性污泥法曝气池呈圆形、正方形或矩形。圆形和正方形由中心进水,周边出水。矩形池从一个长边进水,从另一个长边出水。污水进入曝气池后再曝气设备的搅拌下,立刻与原混合液充分混合,继而完成吸附、稳定净化过程。
请对比完全混合式与推流式两种流态的工艺特点,完成下面的练习:
此外完全混合式各点负荷均匀,比推流式更容易出现污泥膨胀,具体将在污泥膨胀相关章节进行详细阐述。
3.氧化沟
氧化沟(又叫氧化渠或循环曝气池),如图5-10(a)所示。曝气池呈封闭的沟渠形,在沟槽中设表面曝气装置。曝气装置通常为转刷、表曝机、射流曝气器或提升管式曝气装置等。曝气装置起到充氧和使混合液快速混合的作用。沟中液体的快速流动(0.3~0.6m/s)使得污泥呈悬浮状态。典型的氧化沟包括卡罗塞式、奥贝尔式、曝气-沉淀合建式等,图5-10(b)所示为卡罗塞式氧化沟,图5-10(b)为BMTS型合建式氧化沟。

图5-10 氧化沟的常见形式
(1)氧化沟工作原理及特征
氧化沟总长可达几十米甚至上百米,沟深2~6m,取决于曝气装置。从流态上来说,氧化沟介于完全混合和推流式之间,在通过曝气时,在搅拌作用下迅速混匀,局部混合,进入沟渠之后又采用推流式流态向前流动。从整体水质来看,水流在沟内完成一个循环所需的时间为4~20min,水力停留时间可设为24h,亦即水流经过72~360次循环,可以认为水质是均匀的。所以可以说氧化沟工艺总体上是完全混合式的流态,但局部为推流式,具有一些推流式的特征,如溶解氧的不均匀分布,局部水质不均匀。可以说氧化沟法通过设置分区,将完全混合式和推流式进行了结合,从而避免了二者的缺点,又兼具了二者的优点。
同时由于水流处于间歇曝气状态,沟中会出现好氧和缺氧相交替的情况,加上泥龄长(15~30d),这使得硝化菌的繁殖成为可能,如控制得当,氧化沟还可以取得较好的脱氮除磷作用。同时泥龄长,利用衰亡期微生物进行内源呼吸,污泥产率低,可不单设二沉池。
氧化沟基建投资省、运行费用低,且市场上有成型设备,十分适用于规模不大的水处理场合。
(2)氧化沟的曝气装置
氧化沟的曝气装置主要功能有:1向混合液提供氧气;2使混合液中有机污染物、活性污泥、溶解氧三者充分混合、接触;3推动水流以一定流速沿池长循环流动。
氧化沟使用的曝气装置,可分为水平轴曝气装置和纵轴曝气装置两种类型。
1.水平轴曝气装置
1转刷曝气器
以钢管为转轴,在轴的外部沿轴长度焊接大量钢制叶片,使整个曝气器呈刷子状,轴长一般4~9m,可以安装在沟中与水流垂直的方向,转刷直径多为0.8~1.0m,氧转移动力效率一般在2kg/(kW·h)。采用转刷曝气器的氧化沟深度一般为2~2.5m。
2曝气转盘
曝气转盘由转轴带动在水面上转动,转盘上由很多凸出的三角块并留有小孔进行曝气,转盘成组的安装在转轴上,轴长可达6.0m,可安装1~25个转盘,转盘转速一般为45~60r/min,氧转移动力效率可达2kg/(kW·h)。采用曝气转盘的氧化沟深度一般为3~5m。
2.纵轴曝气装置
纵轴曝气装置即常规活性污泥法所采用的表面机械曝气器,各种类型的表面机械曝气器都可以用于氧化沟,一般安装在沟渠转弯处。这种曝气装置有较大的提升能力,可以将氧化沟的水深增加到4~4.5m。
此外氧化沟还采用射流曝气器和提升管式曝气装置。
(3)卡罗赛氧化沟
卡罗赛氧化沟由多沟串联氧化沟及二沉池、污泥回流系统组成,图5-10(b)中所示为六廊道采用表面曝气器的卡罗赛氧化沟。靠近曝气器下游为富氧区,上游为缺氧区,外沟也有缺氧区,这样的沟型能够形成生物脱氮的有利条件,卡罗赛氧化沟系统得到了较为广泛的应用,其规模可从200m³/d~65万m³/d,COD去除率达95~99%,脱氮效率可达90%以上,除磷率在50%左右。
(4)BMTS合建式氧化沟
图5-10(b)所示为另一种典型的曝气-沉淀一体式氧化沟。在氧化沟的一个沟渠内设沉淀池,在沉淀池两侧设隔墙,稳定水流,底部设一排三角形导流块,在水面设置集水管以收集处理水。混合液从沉淀区底部流过,部分混合液从导流块之间上升至沉淀池,沉淀污泥则从隔板与池底间隙回流至氧化沟,实现了泥水分离和污泥回流功能。
合建式氧化沟将曝气、沉淀功能集于一体,可减少占地面积,免除污泥回流系统,但其构造尚待进一步完善,运行经验也有待进一步研究。
4.序批式活性污泥法(SBR法)
序批式活性污泥法,简称SBR法。采用间歇工艺,运行时污水分批进入池中,依次经过进水、反应、沉淀、排水和闲置过程完成一个周期,这一个周期内的五个阶段均在一个反应器内完成,间歇进水、间歇出水,因此也称为间歇式活性污泥法。序批式活性污泥法是活性污泥法的一种变种,但其仍然没有完全脱离完全混合和推流式的基本流态,因为从单一时间点、同一空间来内污水的流态属于完全混合法,但从不同时间来看,同一空间内水质、曝气又是不同的,沿处理时间的推移呈现出推流式流态特征,因此可以说序批式活性污泥法在空间上属于完全混合流态,在时间上属于推流式流态,也因此序批式活性污泥法兼具了二者的优点。
序批式活性污泥法的运行周期示意如图5-11所示。1进水:污水进入之前反应器处于闲置状态,处理之后的污水已经排放,此时反应器内残存着高浓度的活性污泥混合液。污水注满后在进行反应,这里反应器起到了调节池的作用,能够稳定进水水质。2反应:污水达到预定高度后即开始反应阶段,根据水处理的目的,如BOD去除、硝化和磷的吸收剂反硝化等,采取相应的措施,如为前三项则进行曝气和搅拌;如为后一项则进行缓速搅拌(不曝气),并根据需要达到的反应程度确定相应的反应时间。所以通过过程条件控制,SBR工艺可以实现多种功能。3沉淀阶段类似二沉池功能,停止曝气和搅拌,使混合液处于静止状态,活性污泥与水分离。由于本阶段是静止工序,所以沉淀效果较好,沉淀时间一般采取二沉池沉降时间为1.5~2.0h。4排放:经过沉淀之后的上清液作为处理水排放,直到排放至最低水位停止。5待机:排水完毕后,反应器处于停滞状态,残留高浓度的活性污泥混合液,本阶段微生物处于内源呼吸期,“饥饿”的状态有利于在新的周期中快速、高效吸附、降解有机污染物。

图5-11 序批式活性污泥法运行操作五个阶段示意图
此外需要说明的是SBR的排水没办法像一般反应器那样溢流出水,所以需要使用专用排水装置,它能够随着液面的降低而下降排液,称为滗水器。
SBR工艺在我国的广泛应用于城市生活污水、食品工业废水、制革工业废水、制药工业废水等污废水的处理。为了克服传统SBR法的缺点,也发展出很多新型工艺如连续进水周期循环延时曝气活性污泥法(ICEAS)、连续进水分离式周期循环活性污泥法(IDEA)、不完全连续进水周期循环活性污泥法(CASS)等工艺。
此外序批式活性污泥法操作灵活,可以用于BOD去除、脱氮、除磷等多种场合,并易于通过自动化控制达到良好控制条件;但是SBR法的间歇进水和间歇出水不适用于水量大的场合,多组共同运行可以实现连续进水和出水,但设备和控制相对复杂。
5.吸附再生活性污泥法
吸附再生活性污泥法又称为接触稳定法,其工艺流程如图5-12所示。污水与活性污泥在吸附池内曝气接触15~60min,使其中大部分悬浮物和胶体物质被活性污泥吸附去除。吸附后的污泥活性降低,进入稳定池曝气稳定,氧化分解吸附的有机物,进行再生。恢复活性的污泥再进入吸附池。吸附池中微生物一般处于停滞期状态,再生池中微生物一般处于静止期。

图5-12吸附再生活性污泥法工艺流程
这种工艺充分利用了“初期吸附去除”作用,利用活性污泥在与污水接触30min之内快速对固体和胶体状态有机污染物的吸附作用,达到快速降低废水中有机污染物的目的。吸附接触时间不能过长,因为在微生物开始对吸附的有机物进行代谢时由于将其水解,反而会使得水中有机物浓度增加。
6.延时曝气法
延时曝气法通过延长水力停留时间和泥龄,将池中活性污泥保持在内源呼吸期,利用这个阶段剩余污泥少(理论上可不产生,但实际上一些难于被生物降解的物质和微生物自身难代谢的残留物,如细胞壁、细胞膜还是会形成少量剩余污泥)、稳定性好的有点,达到保证出水水质的目的。其水力停留时间可达1~2d,污泥负荷低[0.05~0.2kgBOD5/(kgMLSS·d)],所以曝气池容积较大,空气用量多,能耗高,投资和运行费用大,仅适用于对出水水质要求高的小流量污水处理场合。从池中污水流态分析,其属于完全混合法,所以耐冲击负荷能力强,对水质适应能力强,可不设初沉池。
7.吸附生物降解活性污泥法(AB法)
吸附生物降解活性污泥法简称AB法,其工艺流程如图5-13所示。整个工艺分为A、B两段,将活性污泥对有机物的吸附、代谢、混凝三个阶段分开进行。

图5-13 吸附生物降解活性污泥法工艺流程
A段以高负荷运行,目的是利用“初期吸附去除”作用,迅速降低有机污染物的浓度,污泥负荷2~6kgBOD5/(kgMLSS·d),约为常规活性污泥法的10~20倍,水力停留时间30~60min,溶解氧0.2~1.5mg/L。B段以低负荷运行,污泥负荷0.1~0.3kgBOD5/(kgMLSS·d),停留时间2~4h,溶解氧1~2 mg/L。
AB法不设初沉池,污水中的微生物全部进入A段不断进行接种繁殖,使A段成为开放式生物系统、不断由污水补充微生物的动态生物系统。A、B两段微生物相差距很大,因此单独设置沉淀池,A段污泥产量大,约占总污泥量的80%,且有机物含量高。
A段微生物处于对数增长期,大多为繁殖速度快的细菌,原生生物难以生存,如果将A段控制为兼性处理,还可以将大分子有机物部分降解,使得AB法能够处理高浓度、难降解有机污水,但如果控制不好,该阶段易产生臭味(局部厌氧)。B段微生物处于内源呼吸期,大多为繁殖速度较慢的菌胶团和原生动物等,能够将有机污染物彻底氧化分解,保证了出水水质。
A段微生物对进水冲击负荷耐受能力强,BOD5去除率可达40~70%,且经过A段,污水的可生化性提高,有助于B段活性污泥降解。如果将A段控制为缺氧处理,还可以使AB法具备脱氮除磷功能,可见A段是AB法的核心。A段的缓冲、净化和改善水质的作用为B段生物处理创造了有利条件,其曝气量和总容积可降低40%,节约了投资和能耗。
总之AB法具有耐冲击负荷、出水水质好、投资省、运行费用低、可去除难降解有机物、具有脱氮除磷效果等优点,但是也有难以满足深度处理要求、污泥产量大,处理处置费用较高和脱氮除磷时难以控制的问题存在。
从以上活性污泥法工艺来看,完全混合式和推流式活性污泥这两种基本池型优缺点十分明显,二者互为优缺点,所以出现了通过分区综合完全混合式和推流式流态的氧化沟工艺和通过在空间上完全混合、时间上推流式的方式综合二者的序批式活性污泥法。此外,在研究微生物生长阶段和降解过程的基础上,充分利用各种微生物生长阶段,如吸附再生法和AB法利用吸附阶段对于含固体和胶体状态有机污染物的高效吸附,延时曝气法、氧化沟、AB法B段利用内源呼吸期微生物获得稳定的污泥和较好的出水水质。
除了上述介绍的活性污泥工艺之外,还有深井活性污泥法、浅层曝气活性污泥法、纯氧曝气活性污泥法等多种新型工艺对于处理特定污水具有良好的效果。
三、曝气池
向活性污泥系统中提供氧气的过程叫做曝气。由于活性污泥法的很多运行设备都需要供给氧气,所以也把这些构筑物称为曝气池。
1. 曝气原理
(1)氧传递速度
氧气溶于水的过程是氧分子从气相传递到液相的过程。该过程可用双膜理论加以描述:在气液界面存在着气膜和液膜,对气液传质形成阻力。气膜中氧气的分压梯度和液膜中氧分子的浓度梯度是氧分子扩散的动力。
由于氧气难溶于水,所以氧传递阻力主要来自于液膜,亦即氧分子通过液膜的速度是氧传递过程的控制速度。
(2)氧传递速度的影响因素
影响氧传递速度的因素主要有水质、水温和压力。
1水质
由于污水并非纯水,其中含有很多杂质,特别是水中如果含有一些表面活性物质,就会聚集在气液界面形成分子膜阻碍氧分子的传递。另外水中存在的某些污染物(盐类)也会使氧在水中的饱和溶解度降低。
2水温
水温升高,谁的黏性增加,液膜厚度就降低,传递速度增加。但是水温增加,会显著降低氧在水中的饱和溶解度,又不利于氧气的传递。
3压力
氧气的溶解度也会受到氧分压或大气压力的影响。大气压力或氧分压越大有利于氧气的溶解,如鼓风曝气在曝气器出口处氧分压最大,氧气溶解度高。
2.曝气方法及设备
曝气方法主要有鼓风曝气和机械曝气两种。
(1)鼓风曝气
鼓风曝气是适用风机和空气扩散装置向曝气池混合液中鼓入空气的方法。曝气适用的风机有离心风机和罗茨风机两种
离心风机风量大,风压小,噪声小,效率高,适用于大中型污水处理厂。罗茨风机风压大,风量小,噪音大,适用于中小型污水厂。
目前采用较多的空气扩散装置即曝气器主要有:隔膜曝气头、隔膜曝气管、螺旋曝气器和射流曝气器等。曝气器安装在水下近池底处,风机提供的空气通过布气管道分配到各个曝气器再扩散到书中。气泡在上升过程中搅拌混合液,保证活性污泥的悬浮状态,与污水和空气充分接触,空气中的氧气不断溶解于水中,供好氧的活性污泥代谢使用。
a.螺旋曝气器
螺旋曝气器又称螺旋混合器,一般用玻璃钢材料制成。外形尺寸为直径300~400mm,高1500mm。曝气器由圆柱形外壳和固定在壳体内部的螺旋叶片组成,在螺旋管中有螺旋叶片,相邻叶片旋转方向相反,空气由底部进入,上升的气体带着混合液螺旋式上升,使气体发生剧烈混合,空气在上升过程中不断被叶片切割,形成小气泡。螺旋曝气器不易堵,氧利用率高,搅拌混合效果好,应用广泛。
b.隔膜曝气头
隔膜曝气器如图5-14(a)所示,空气从布气管进入缓冲室,使弹性橡胶膜片向上拱起,膜片上的小孔张开,空气释出。停止供气后,气压降低,胶片自动复位,气孔闭合,阻止污泥和水进入缓冲室。
c.隔膜曝气管
隔膜曝气管如图5-14(b)所示,空气通过套在塑料管上的多孔弹性胶管扩散到混合液中。

图5-14 膜片式微孔空气扩散器
隔膜曝气头和曝气管上的出气孔很小,释放出的微气泡比表面积大,传质效果好,氧利用率高,但是膜片易老化和开裂,造成空气短流,有时也会发生微孔堵塞。
4射流曝气器
射流曝气器是根据文丘里管原理构造的。通过喷嘴和渐缩管的污水水流流速迅速增加,形成负压,不断吸入空气,并在喉管和污水的高速流动中不断被切割成小气泡,气水混合物形成和气泡上升过程中,氧气溶解于水中。射流曝气器传质效率高,氧利用率高,但动力消耗大。
总体来说鼓风曝气配置灵活,效率高,适用于各种规模的污水处理设施。
(2)机械曝气
机械曝气又称为表面曝气,其充气装置主要是安装于水面的曝气机,曝气机有立式和卧式两种。
a.立式曝气机
立式曝气机的传动轴与水面垂直,装有叶轮,如图5-15(a)所示。立式曝气机适用于小型曝气池,由于动力消耗大,在大型曝气池中较少采用。
b.卧式曝气机
卧式曝气机即转刷曝气器,其结构如图5-15(b)所示。转刷的传动轴与水面平行,转刷转动时,板条和钢丝将液滴抛向空中,并使液面剧烈波动,氧气溶于混合液中。混合液在转刷的推动下在池内流动,污泥呈悬浮状态。

图5-15 曝气机示意图
机械曝气器在动力驱动下主要通过以下三项作用使空气中的氧转移到混合液中:1曝气器转动,水面上的污水不断地以水幕状由曝气器周边抛向四周,形成水跃,水滴和水膜与空气接触夹带空气,使氧气不断溶入混合液中;2叶轮的搅拌具有提升液体的作用,使混合液连续地上下循环流动,气液接触面不断更新,使空气中的氧不断向液体转移;3曝气器转动,其后侧形成负压区,不断吸入空气并在叶轮作用下被打碎,溶入水中。
3.曝气池结构
曝气池使活性污泥法的反应器,也是悬浮生长的污泥系统的核心设备,活性污泥系统的净化效果,在很大程度上取决于曝气池的功能能否正常发挥。下面介绍推流式和完全混合式活性污泥法曝气池的基本结构。
(1)推流式曝气池反应器
推流式活性污泥曝气池多采用鼓风曝气,传统的做法是将空气扩散器安装在曝气池廊道底部的一侧,如图5-16(a)所示,这样可以使水流在池内呈旋转状流动,提高气泡与混合液的接触时间,考虑到氧气分布的均匀性,一般廊道的宽深比一般在2以下,多介于1.0~1.5之间,如果曝气池的宽度较宽,也可考虑在两侧分别安装,也可按一定形式,如相互垂直的正交形式或梅花形交错式均衡地分布在整个曝气池底。
曝气池的数目根据污水处理厂的规模而确定,一般在结构上分为若干个单元,每个单元包括一座或几座曝气池,一座曝气池常由1个或2~5个廊道组成,如图5-16所示。当廊道数为单数时,污水的进、出水口分别位于曝气池的两端,当廊道数位双数时,污水的进、出口位于廊道的同一侧。


图5-16 推流式曝气池的廊道组合
你能尝试根据上述组合示意画出五廊道推流式曝气池的结构示意图(包括曝气装置、二沉池和污泥回流)吗?
推流式曝气池进、出水口均设于水下,采用淹没入流方式(如图5-17所示)以免形成短路,设闸门以调节流量。出水口采用溢流堰形式,处理后水流过堰顶流入出水槽排出。

图5-17 推流式曝气池的进水、出水结构
(2)完全混合式曝气池
完全混合式曝气池可以是圆形、方形或矩形,水深一般3~5m。圆形池污水从底部中心进入,周边出水;正方形池可以从中心进水,周边出水,也可以一边进水,对边出水;长方形池从一长边进水,另一长边出水。
完全混合式曝气池多采用表面曝气机,也可采用鼓风曝气。曝气池可以单独设置,也可以和沉淀池合建。
a.分建式
分建式是曝气池与沉淀池分开设置,由污泥回流系统进行污泥回流的控制,曝气和沉淀互不干扰,应用较多,如图5-18所示。采用表面机械曝气,将曝气池分为一系列相互衔接的方形单元,污水与回流污泥沿曝气池池长方向均匀引入,从另一长边通过溢流堰和出水槽均匀排出进入二沉池。

图5-18 分建式完全混合式曝气池
b.合建式
合建式常使用圆形池型如图5-19所示,由曝气区、导流区和沉淀区三部分组成。

图5-19 合建式完全混合式曝气池(圆形曝气沉淀池)
曝气区:曝气装置设于池顶部中央,并深入水下一定深度。污水从池底部进入,并立即与池内原有混合液完全混合,并于从回流缝(一般宽0.15~0.20m)回流的活性污泥充分混合、接触。经过曝气反应后的污水从位于顶部四周的回流窗流出并进入导流区,回流窗的大小可以调节以控制流量。曝气区一般深度为4m。
导流区:位于曝气区和沉淀区之间,内设整流板,作用是阻止从回流窗流入的水流在惯性作用下产生旋流,并释放混合液中的气泡,使水流平稳地进入沉淀区,为固液分离创造良好的条件。导流区的高度在1.5m以上。
沉淀区:位于导流区和曝气区的外侧,其功能是泥水分离,上部为澄清区,下部为污泥区,澄清区的深度不宜小于1.5m,以防止污泥返混,污泥区的容积一般不小于2h的存泥量。澄清后的水通过设于池四周的溢流堰(多为三角堰)进入出水槽被排出。污泥区一定深度设排泥装置以排出剩余污泥。
合建式具有结构紧凑、流程短、占地少,不需要污泥回流装置等优点,但是曝气沉淀池的沉淀区在构造上有一定的局限性,泥水分离、污泥浓缩以及污泥回流等环节还存在一些尚待解决的问题。
四、活性污泥系统运行和管理
良好的运行管理是活性污泥系统正常运行的基本保证。对于活性污泥系统而言在运行管理中最重要的两个环节分别是运行初期的污泥培养驯化以及运行过程中的污泥膨胀控制,下面从原理方面对这两个问题进行分析,具体操作性措施会在第二部分进行介绍。
1.污泥的培养和驯化
活性污泥系统投产之前必须培养、驯化出足够数量的活性污泥。培养是指不改变微生物的种群特性,使其数量不断增加,以达到一定污泥浓度的过程。驯化则是指对微生物种群进行淘汰和诱导,使得能够适应水质和环境条件的微生物得以存活,并诱导其产生适应性酶系统的过程。用来培养和驯化的微生物种源称为菌种。污泥的培养和驯化过程是不可分割的,培养过程中投加的污水对微生物有驯化作用,驯化过程中微生物的数量也会增加,二者是相互促进的统一体。
(1)菌种来源
活性污泥菌种一般为同类型水质或不同水质污水处理系统的活性污泥,厌氧消化污泥、城市污水、可生化性强的工业废水和粪便水等。
(2)培养与驯化方式
根据培养和驯化进行的顺序,可将培养和驯化分为同步法和异步法,前者是培养和驯化同时进行或交替进行,后者是先培养再驯化。
a.城市污水处理活性污泥的培养和驯化(同步法)
对于城市污水一般都采用同步驯化法,由于其中既有营养物质,也有菌种,所以可以直接进行培养。方法是先将污水引入曝气池进行充分曝气,并开动污泥回流设备,使曝气池和二沉池接通循环(闷曝)。经1~2天曝气后,曝气池内就会出现模糊不清的絮凝体,为了补充营养和排除对微生物增长有害的代谢产物,要及时换水,即从曝气池通过二沉池排出50~70%的污水,同时引入新鲜污水。换水可间歇进水,也可以连续进行。一般情况下水温在15℃以上的条件下,经过7~10天便可大致完成培养驯化过程,此时混合液SV值在15~20%,镜检可以发现污泥内含有大量的菌胶团和固着型纤毛虫类原生动物,如钟虫、累枝虫等。
如果城市生活污水占总水量不太大的情况下,可以采用间歇换水,每天换水1~2次。连续换水适用于以生活污水为主的城市污水或纯生活污水。
b.工业废水处理活性污泥培养和驯化(异步法)
由于工业废水中往往缺乏专性菌种和足够的营养,因此在投产前应先用一般菌种和所需的营养进行培养,培养出足够数量的活性污泥之后再进行驯化。
一般接种采用粪便水或生活污水进行接种(如缺乏也可使用化粪池和排泥沟的污泥、初沉池或消化池污泥等),采用粪便水进行培养时,先将浓粪便水过滤后投入曝气池,再用自来水稀释,使BOD5控制再500mg/L左右进行闷曝,同样经过1~2d后进行换水和营养物质的补充。采用间歇或连续换水的方式均可,前者使用与生产性曝气池,后者仅适用于就地有生活污水来源的处理站。
当活性污泥培养成熟,即可以再进水中加入并逐渐增加工业废水的比重,使微生物在逐渐适应新的生活条件下得到驯化。开始时,工业废水可按总流量的10~20%加入,达到较好的处理效果后,再继续增加,每次增加总流量10~20%为宜,直至满负荷。
在有条件的情况下,可以在培养阶段引入污水处理厂处理类似水产生的剩余污泥,能够大大降低培养和驯化所需的时间,即接种。
2.活性污泥法运行状态监测
运行中需要对活性污泥的性状、沉降性能和出水效果进行监测。活性污泥性状通过镜检进行;沉降性能通过测定污泥沉降比和污泥指数进行监测;出水效果使用BOD5、COD、pH值、总磷、总氮、溶解氧等指标评价。
3.污泥膨胀及控制
污泥膨胀是活性污泥法工艺运行过程中的典型异常现象,如不及时控制,将会导致出水水质恶化,甚至出现污泥解絮等严重问题,下面就其危害和形成原因进行分析。
(1)污泥膨胀
正常的活性污泥比较密实,沉降性能好,污泥沉降比SV=15~30%,SVI=50~150,而异常的污泥结构松散,沉淀性能差,污泥沉降比和物质指数很大,在二沉池固液分离效果很差,造成污泥随水流出,这种现象叫做污泥膨胀。不同的污水发生污泥膨胀的SVI值差距较大,一般认为SVI>200为污泥膨胀。
污泥膨胀会使二沉池的分离效果变差,池面漂泥严重,出水水质变差。但是出现这种现象并不一定意味着污泥膨胀。二沉池中污泥的反硝化、局部积泥和排泥不及时都会引起厌氧发酵,出现污泥上浮和漂泥,这些问题需要排除。
(2)污泥膨胀的原因
污泥膨胀分为丝状菌膨胀和非丝状菌膨胀,丝状菌膨胀较为普遍。
a.丝状菌膨胀
活性污泥中丝状菌过度繁殖而引起的膨胀叫做丝状菌膨胀。正常的活性污泥絮粒比较密实,以菌胶团细菌为主,辅以少量的丝状菌和原生动物。在异常情况下,菌胶团细菌受到抑制,而丝状菌大量繁殖,丝状菌相互缠绕交错,夹带细菌和悬浮物,形成结构松散的絮体。这种絮体比表面积大,含水率高,密度小,在悬浮状态下不容易沉淀,最终导致污泥膨胀。
目前对于丝状菌膨胀的认识尚不完全统一,一般认为丝状菌在竞争中占优势的主要原因有如下几个方面。
ⅰ水质:水质是造成丝状菌膨胀的主要原因。污水中可溶性碳水化合物(小分子糖类和有机酸等)、硫化物越多,越有利于丝状菌的生长;污水的pH值偏低(<6)时,也容易导致污泥膨胀;污水缺乏氮、磷营养时,丝状菌比表面大,能在与菌胶团细菌的竞争中占优。
ⅱ温度:菌胶团细菌生存的最适温度范围为28~30℃,浮游球衣菌这种丝状菌的最适温度为25~30℃,如果水温在25~28℃就可能造成浮游球衣菌的优势生长。水温低于15℃一般不发生污泥膨胀。
ⅲ溶解氧:过高和过低的溶解氧都可能会造成丝状污泥膨胀。菌胶团是严格的好氧菌,只有在较高溶解氧浓度(>2mg/L)下才能够正常生长。而丝状菌中的浮游球衣菌是好氧菌,在微氧状态下仍能正常生长;丝状菌中亮发菌在溶解氧浓度高时(3~4mg/L)能优势生长。
所以溶解氧过高或过低都有丝状菌能够优势生长,所以活性污泥法一般控制溶解氧在2~3mg/L为宜。
ⅳ有机负荷:有机负荷对SVI值的影响较为复杂,不同的污水发生污泥膨胀的有机负荷值不同,同一污水在不同条件下发生污泥膨胀的有机负荷也不一样,不能简单地认为在某一个有机负荷下会发生污泥膨胀,要确定发生污泥膨胀的有机负荷值,必须要在考虑其他因素的基础上,通过实验确定。
有机负荷低时,营养物质缺乏,丝状菌能在营养的竞争中占据优势;有机负荷过高时,溶解氧消耗迅速,而低溶解氧可能导致丝状菌的优势生长。
ⅴ工艺方法:从活性污泥法工艺类型来看,完全混合式比推流式容易发生丝状污泥膨胀;间歇式活性污泥不容易发生污泥膨胀。这与水质和曝气的均匀程度有关,从实践结果来看,在水质和曝气不均匀,有一定浓度梯度的工艺中不容易发生污泥膨胀。
b.非丝状污泥膨胀
如果污泥膨胀时,镜检确找不到大量丝状菌,这种膨胀叫非丝状污泥膨胀。非丝状污泥膨胀主要发生在水温较低而污泥负荷较高的场合。当有机负荷较高[0.5~1.5kgBOD5/(kgMLSS·d)],溶解氧浓度不是很低时,丝状菌虽然不能优势生长,但是由于水温低细菌吸收的大量营养物来不及代谢,而是积累在胞外,以大量高黏性多糖类物质为主,使污泥结构松散,表面附着的水增多,SVI值增大,引起非丝状污泥膨胀。
此外当污水中含有较多的表面活性剂时,也会形成较多泡沫,在水面形成泡沫层将活性污泥带出,所以曝气池及二沉池表面出现大量泡沫不一定意味着发生了污泥膨胀,需要先排除表面活性剂、反硝化、局部厌氧发酵等引起的污泥上浮等状况。
5.1.3生物膜法
污水的生物膜法处理时与活性污泥法并列的一种污水好氧生物处理技术。这种处理方法的实质是使细菌等、原生动物、后生动物附着在滤料或某些载体上生长繁殖,并在其上形成膜状生物污泥——生物膜。污水与生物膜接触,污水中的有机物污染物作为营养物质为生物膜上的微生物利用,污水得到净化。
污水的生物膜处理既是古老的,又是发展中的污水生物处理技术。迄今为止属于生物膜法的工艺有生物滤池(普通生物滤池、高负荷生物滤池、塔式生物滤池)、生物转盘、生物接触氧化法和生物流化床等。生物滤池是出现较早,至今仍在发展中的污水生物处理技术,后三者则是近几十年来新发展出来的工艺。
一、生物膜法基本原理
生物膜法中微生物是附着在一定载体的表面,而非像活性污泥法那样悬浮在水中接触有机物,它是一种附着型工艺。生物膜法中微生物的生长和代谢原理与悬浮法从本质上来说是相同的,但附着型生长的污泥和流过其表面的污水,它们之间物质传递的形式和悬浮型工艺是有区别的。
1.生物膜法基本流程
生物膜法基本流程是污水经初沉池去除悬浮物后进入生物膜反应器去除有机物。生物膜反应器出水进入二沉池去除脱落的生物体,澄清液排放,污泥待进一步处理和处置。
2.生物膜的形成和结构
污水与滤料或某种载体流动接触,在经过一段时间之后,滤料或载体的表面将会被一层膜状污泥——生物膜所覆盖,并且随着接触时间的延长,生物膜会逐渐变厚,且沿水流方向上微生物相的分布略有不同。其上微生物组成了微型生态系统,对有机物有稳定的降解能力,趋于成熟。成熟的生物膜结构如图5-20所示。
随着生物膜的增厚,在膜深处供氧不足,会出现厌氧层和兼性层,最外层直接接触水流的是好氧层(约2mm厚),好氧层能直接从污水中获得溶解氧。
3.生物膜的净化过程
生物膜的净化过程可以分为吸附、传质、代谢,其中吸附和代谢过程与活性污泥法类似,这里对相同内容不再赘述。

图5-20 生物膜的结构及传质示意图
(1)吸附
生物膜是高度亲水的物质,在污水不断在其表面更新的条件下,其好氧层表面总是存在一层很薄的附着水层,污水流过生物膜时,有机物等经过附着水层向生物膜内扩散,微生物对有机物进行吸附,与活性污泥法类似。
(2)传质
传质过程与活性污泥法有较大区别,这主要是由附着型的微生物生长聚集模式决定的。传递的物质大体上可以分为:氧气、水中营养物质、微生物代谢产物三种,传质的动力主要是浓度差,如图5-20所示。
由于接触污水的微生物不断地分解有机物,消耗溶解氧,使得水中溶解氧总是不饱和的,在水体复氧作用下,空气中的氧气会向水中转移。形成空气→水体→好氧层的氧气转移途径。由于生物膜具有一定厚度,氧气无法传递到深层,也就出现了兼性层和厌氧层。
水中的营养物质,主要是有机物扩散进入附着水层厚沿着好氧层、兼性层、厌氧层,在浓度差的驱动下向内传递。
生物膜在代谢过程中会产生各种代谢产物,如好氧层会产生气体CO2和液体H2O;厌氧层会产生气体CH4、H2S、NH3和液体有机酸、溶于水的小分子有机物、无机盐等代谢产物,此外还有上层脱落的生物膜这种固体代谢产物。气体代谢产物会以气泡的形式逸出生物膜,进入水体,再从水中逸出;液体和固体代谢产物沿水流方向传递。
(3)代谢
与活性污泥工艺中几乎没有厌氧代谢不同的是,在生物膜中有厌氧和兼性微生物的代谢:厌氧和兼性微生物能够将大分子有机物分解成较简单的小分子代谢产物(中间代谢产物),便于好氧微生物进行彻底的分解。
4.生物膜中的生物相
生物膜是生物膜法处理的核心,它与活性污泥法的区别还体现在生物相上,好氧活性污泥法的生物相主要是好氧的细菌等原核生物组成的菌胶团及附着其上的原生动物和微型后生动物;生物膜中的生物相更为复杂多样,除了沿生物膜深度方向上的好氧、兼性和厌氧微生物,还有沿水流方向上微生物相的分布。离进水端较近部分的生物膜能够接触到浓度较高的污水,这里的微生物代谢迅速,多处在对数增长期或静止期,原生动物也以游泳型纤毛虫等中污带典型微生物为主;随着有机物被分解,接近出口端的生物膜则相对稳定,多数处在内源呼吸期,原生动物也转变为固着型纤毛虫等寡污带典型微生物为主,轮虫等寡毛虫等较为高等的微型动物也经常出现。
综上所述,生物膜法复杂的生物相使得它具有比活性污泥法更加长的食物链和更加稳定的生态系统,这对于耐受冲击负荷有积极的作用。
此外,高等级的微型动物通常以低等微生物为食,上层脱落的生物膜可以成为下层微生物的食物来源,这也是生物膜处理系统内产生的污泥量少于活性污泥法的原因。
这里需要注意的是上层生物膜脱落的原因。当厌氧层还不厚的时候,它与好氧层保持着一定的平衡和稳定关系,好氧层能够维持正常的净化功能,但当厌氧层逐渐加厚,并达到一定程度的时候,其产生的CH4、H2S、NH3等气体代谢产物也会增加,在向外逸出的同时会影响好氧层的正常代谢,也会减弱生物膜和滤料之间的黏附力,最终导致生物膜的脱落,这种脱落的生物膜一般被称为老化生物膜。生物膜脱落后又会形成新的生物膜,但需要经过一段时间才能够恢复稳定的降解功能
适度的生物膜老化并非异常现象,是生物膜作为一个微生物群体“新陈代谢”的过程,对于保证微生物群体的稳定降解能力有积极作用,但是也需要注意短时间内大量的生物膜剥落并非简单的老化现象。理想的生物膜状态是:厌氧层不过分增长,好氧层的更新速度快,生物膜不集中脱落。
5.生物膜法的分类和特点
(1)分类
按生物膜与水的接触方式不同,可以将生物膜法分为充填式和浸没式。充填式生物膜法是生物膜附着的填料(载体)不被污水淹没,污水流过填料表面或盘片旋转浸过污水,如生物滤池和生物转盘,采用自然通风或强制通风供氧;浸没式生物膜法是生物膜附着的填料完全浸没于水中,如接触氧化和生物流化床,一般采用鼓风曝气供氧。
(2)特点
与活性污泥法相比,生物膜法的特点主要是由于其附着型工艺和微生物相的区别带来的,具体如下。
a.不产生污泥膨胀:微生物固着生长,即使丝状菌占优势也不会出现污泥的脱落和流失;
b.处理效果好:固着型生长的生物膜微生物量大,是活性污泥法浓度的5~20倍,所以生物膜反应器的处理效果好,有机负荷高,同等处理量条件下,构筑物体积小;
c.耐冲击负荷:既能处理低浓度污水,也能处理高浓度和难降解有机物,生物膜对水质变化的适应性强,耐冲击负荷能力强;
d.能去除难降解有机物,有一定脱氮除磷效果:微生物相复杂,既有厌氧、兼性和好氧交替的条件,也有较长的食物链,能去除水中各种污染物,尤其是难降解有机物和氮磷;
e.剩余污泥少:生物膜中微生物相的食物链长,下层微生物营养级别高,有机物氧化率高,剩余污泥少;
f.污泥沉降性能好:脱落生物膜较为密实,沉淀性能好,容易分离;
g.操作简单,运行费用省:生物膜反应器生物量大,无需污泥回流,有些反应器可以自然通风,所以运行费用低,操作简单;
h.固定投资费用较大:由于生物膜法需要大量的填料和支撑结构,所以固定成本较高。一般用于中小型规模的水处理场合。
二、生物滤池
生物滤池是最早的生物膜法反应池,属于充填式生物膜法。
1.分类及运行方式
(1)生物滤池的分类
根据有机负荷率,可将生物滤池分为三种:普通生物滤池(低负荷生物滤池)、高负荷生物滤池(回流式生物滤池)、塔式生物滤池。城市污水生物滤池的负荷率如表5-2所示。
a.普通生物滤池:普通生物滤池在较低的负荷下[0.15~0.30 kgBOD5/(m³·d)]运行,水力停留时间长,净化效果好,剩余污泥少,但由于滤速低、水力冲刷作用小,易堵塞和短流,会有灰蝇生长,散发臭味,卫生条件不佳,且占地面积大,目前已经很少使用。
b.高负荷生物滤池:在高负荷率下运行的生物滤池叫做高负荷生物滤池,或回流式生物滤池。高负荷生物滤池处理城市污水的有机负荷率为1.1kgBOD5/(m³·d)左右。在高负荷生物滤池中,微生物营养充足,生物膜增长速度快。为了防止填料堵塞,需进行出水回流以稀释进水,冲刷填料。高负荷生物滤池的去除率相对较低,与普通生物滤池相比,其产生的生物污泥量多,稳定度小,需要进行污泥消化。高负荷生物滤池占地面积小,投资费用低,卫生条件好,适用于处理有机物浓度较高、水质水量波动较大的污水。
c.塔式生物滤池:处理城市污水时,塔式生物滤池的有机负荷可高达1.0~3.0kgBOD5/(m³·d)。塔式生物滤池生物膜生长速度快,没有回流,为了防止填料堵塞,采用较小的滤池面积,以获得较高的滤速。填料装填体积是一定的,滤池截面积的缩小就使得滤池的高度增加,而形成塔状结构,因此被称为塔式生物滤池。与普通生物滤池相比,其净化效果差,但占地面积小,投资运行费用低,耐冲击负荷能力强,适用于处理高浓度污水。
(2)生物滤池的运行方式
a.普通生物滤池的二级交替运行
普通生物滤池的运行较为简单,与活性污泥法相似,只是将曝气池更换为普通生物滤池,没有污泥回流,但这种运行方式已经比较少用。下面介绍普通生物滤池的二级交替运行方式,如图5-21所示。 

图5-21 二级交替普通生物滤池工艺
两级滤池串联运行,各自设二沉池,澄清后的水进入下一级滤池或出水。当第一级滤池生物膜逐渐增厚,开始堵塞后,通过阀门控制将进水引入滤池Ⅱ,将其作为一级滤池,滤池Ⅰ此时作为二级滤池,有机负荷降低,生物膜厚度减少,如此循环,以保证系统的正常运行。
b.高负荷生物滤池的运行
高负荷生物滤池的运行方式常用的有一级和二级串联两种,其运行方式如图5-22所示。按(a)(b)(c)(d)的顺序,处理效率依次提高。当污水浓度不太高的时候应采用一级流程处理;有机物浓度高或者是出水水质要求高时,应采用二级流程,但是二级流程固定成本和运行费用相对较高。

图5-22高负荷生物滤池的一级和二级流程
国外运行经验表明,一级回流在有机负荷率不大于1.7 kgBOD5/(m³·d)时,BOD5去除率达65%左右;二级回流每一级滤池的去除率约50%,总去除率约75%。c和d型的水流方向可以互换,能够有效防止堵塞。
c.塔式生物滤池的运行
塔式生物滤池一般采用一级流程,不设回流。
2.生物滤池构造
生物滤池都由布水装置、池壁、填料床、排水通风系统四部分组成。负荷不同填料床的材料和高度不同,塔式生物滤池最高,其结构如图5-23所示。
(1)填料床
填料床是填料堆积而成的一定厚度的床层。(也有场合称为滤床,那是因为早期生物滤池与过滤使用的滤池结构类似,只是其上附着了微生物,因此得名,滤池中过滤使用的滤料也沿用至生物滤池。笔者认为滤料强调材料的过滤作用,而生物膜法并非以过滤为主,载体存在的价值是承载生物膜,为其生长提供表面积,因此其作用主要为填充,称其为填料更为恰当。)
填料粒径越小其比表面积越大,越能够为生物膜提供大的附着面积,但是粒径越小越容易造成堵塞,且不利于通风。早期的滤料主要有碎石、卵石、炉渣和焦炭等天然多孔性材料,粒径为3~200px,孔隙率50%左右,比表面积为65~100㎡/m³。这些天然材料虽然具有性质稳定;有一定的机械强度,能够承受一定的压力;具备较大的比表面积,但是它们的比重比较大,限制了填料床的高度,限制了有机负荷的提高。

图 5-23 塔式生物滤池
近年来随着材料工业的迅速发展,出现了各种轻质多孔性材料作为填料,如波纹板(比表面积80~195㎡/m³,孔隙率90~95%)、环状填料(比表面积100~340㎡/m³,孔隙率90~95%)和蜂窝状填料(比表面积200㎡/m³左右,孔隙率95%左右)等等,能够极大的增加微生物的附着面积,并且使得滤床的高度得到了大幅提高,塔式滤池可以达到7~10m的高度,大大提高了生物滤池的有机负荷。
(2)池壁
池壁起围挡填料的作用。池壁上可设孔洞,以利通风。池壁下部通风孔总面积应大于滤池表面积的1%。塔式生物滤池下部通风口面积应大于滤池面积的8~10%。
(3)布水装置
布水装置的作用是使得进入滤池的污水均匀分布在填料的表面。普通生物滤池一般使用固定布水装置。高负荷生物滤池和塔式生物滤池常采用旋转布水器。布水器安装在填料床上方,塔式生物滤池有时可采用多段进水的方式,均分负荷。
(4)排水通风系统
排水通风系统的作用是排放处理后水,支撑填料床,通入空气。排水系统分为两层,即渗水假底和集水沟,如图5-23中底座形式设置。常见的渗水假底为混凝土栅板、砖砌、滤砖堆砌和半圆形陶土管等。污水由填料床经过通过渗水假底落入集水沟,集水沟坡度为0.01,处理后水经集水沟汇入总排水管排出。
3.生物滤池性能的影响因素
滤池高度、负荷率、回流比和供氧情况会影响滤池的处理效果。
(1)滤池高度:在生物滤池内,填料层不同高度的微生物量和种类各不相同。
请完成以下关于滤池中微生物相分布的填空。
因此随着填料床高度的增加,水流与生物膜的接触时间越长,污染物的去除越彻底,但是当滤床高度达到一定数值之后,处理效率的提高就变得缓慢了,而且会增加水头损失,此时再增加高度就不经济了。一般处理城市污水时普通生物滤池较为经济的高度时2.0~3.0m,高负荷生物滤池高度0.9~2.0m较为合适,塔式生物滤池高度7~10m为宜。
(2)负荷率:负荷率有两种表示方式,即有机负荷和水力负荷。
a.有机负荷
在其他条件不变的情况下,有机负荷高,降解速度快,但是出水水质可能会变差,同时生物膜增长快,易堵塞,但较高的有机负荷可以降低滤池容积,减少固定成本。
有机负荷的确定需要综合考虑水质、滤料性质、处理目标等因素,需通过试验确定。
b.水力负荷
水力负荷是指单位池面积上,单位时间内流过的污水体积,水力负荷又称为滤速,决定了滤池填料的冲刷程度。滤速低,滤池容易堵塞。
但是水力负荷的增加也间接提高了有机负荷,生物膜增殖迅速,不一定能缓解堵塞,高负荷生物滤池可以通过增加回流污水量提高水力负荷而不增加有机负荷,塔式生物滤池可以通过分段进水在不降低水力负荷的同时均分有机负荷,环节堵塞。
总之应将生物滤池的进水浓度与水力负荷控制在适宜的范围内。处理城市污水时,普通生物滤池适宜的水力负荷为1~4m³/(㎡·d),高负荷生物滤池为10~30 m³/(㎡·d)。
(3)回流比
但是回流会降低进水负荷,也会给生物滤池的运行带来不利影响,它会使得传质速度和生物降解速度降低,可能会导致难降解物质的积累,另外冬天可能会使水温降低。
总之,在以下三种情况存在时可以考虑回流:1进水有机物浓度高(BOD5>200mg/L);2水量小,无法维持最低水力负荷;3污水中存在有毒物质或高浓度有机物。
(4)供氧
生物滤池一般依靠自然通风供氧,尤其是较高的滤池往往有自然拔风作用能够促进通风供氧。供氧还受到滤池内外温差的影响:滤床的气流阻力一定的情况下温差越大,通风量越大。
如果有机负荷过高,进水BOD5>200mg/L时,自然通风没有办法满足生物膜对氧气的需求,就需要使用强制通风进行辅助。
三、生物转盘
生物转盘也被称为转盘式生物滤池,也属于充填式生物膜处理,只是微生物附着的载体是盘片而非颗粒状填料。生物转盘去除污染物的机理大体上与生物滤池相同,但因为其构造不同,也呈现出不同于生物滤池的特点。
1.生物转盘的构造和工作原理
生物转盘反应器由垂直固定在水平轴上的一组盘片(多为圆形或多边形)及与之配套的氧化水槽组成,如图5-24所示。氧化槽断面为半圆形、矩形或梯形。

盘片中心贯以转轴而成组排列,轴的两端安装在池的宽度方向上,转轴一般高出水面10~625px。由电动机带动轴转动,进而带动转盘旋转,转轴转速0.8~3.0r/min,边缘线速度一般为10~20m/min。转轴的长度不超过7m,盘片直径2~3m,最大5m,盘片之间间隔距离10~35mm,盘片厚度1~15mm。一级反应器中往往安装多组盘片,多级反应器可以串联(一般不超过4级),以提高去除效果
污水流动方向与轴垂直,与盘面平行。氧化槽内水位保持一定的高度,使得40~50%的转盘面积浸没于污水中,微生物在盘片上附着生长形成生物膜。转盘在转轴带动下缓慢旋转,使盘片上的微生物交替处于浸没和暴露于空气中的状态,循环进行“吸附代谢-充氧”作用。转盘旋转时还会带入部分空气进入水中,并引起液滴飞溅和液面波动,增加污水溶解氧含量。
生物转盘转动形成的冲刷作用可以使生物膜表面老化的污泥脱落,随水进入二沉池进行泥水分离,生物膜脱落程度可以通过调节转盘转速进行控制。
2.生物转盘的运行特点
生物转盘既可以用于工业废水的处理,也可以用于有机负荷较高时的生活污水处理。它具备生物滤池工艺的特点:不发生污泥膨胀、不需要回流设备、动力消耗少、污泥沉降性能好、耐冲击负荷能力强等优点,也具有其独特的优势。
但是生物转盘也存在盘片材料贵和需要安装雨棚等问题,总体来说生物转盘的应用还是十分广泛的,特别是在中小规模水处理场合。
3.生物转盘的发展
近年来生物转盘工艺也有新的发展,如用于城市污水二级处理和氮素消化的空气驱动式生物转盘,不需要机械转轴带动转盘旋转,采用偏心曝气和转盘上集气槽集气产生浮力的作用使转盘旋转,增加曝气的同时,减少了机械传动,降低了能耗。
还出现了将生物转盘与沉淀合建的合建式生物转盘,沉淀区位于转盘的下方,一体化的构筑物减少了占地面积。
另外生物转盘还可以用于提高污水处理厂原有构筑物的处理效率,在原活性污泥法曝气池之上设生物转盘,形成了活性污泥-生物转盘复合工艺。在不改变原有构筑物的前提下,提高了处理负荷和处理效率,节约投资成本。
四、生物接触氧化池
生物接触氧化池简称接触氧化法,是一种浸没式生物滤池。接触氧化法的填料浸没于水中,填料上生长生物膜,氧化池污水中还存在悬浮生长的微生物,是一种生物量很大的生物滤池。它非常适合用于老旧污水处理厂的改造,能大大提高原构筑物的进水负荷,使其能够处理较高浓度的废水,满足处理要求。
1.接触氧化池的构造和工作原理
接触氧化法按照充氧和接触方式不同可分为直流式和分流失,直流式在我国较常使用,下面针对直流式比接触氧化法进行详细介绍。
直流式接触氧化池由填料、填料支架和曝气装置组成,如图5-25(a)所示。空气由填料床底部进入,充氧和生物接触氧化在填料层内同时进行,同时上升的气体产生强烈扰动,对填料表面的生物膜产生冲刷作用,促进生物膜的更新。其生物膜生长及代谢机理与其他生物滤池一致,这里不再赘述。

图5-25 直流式接触氧化法构造及常见填料
填料层的填料是接触氧化法具备大生物量的关键,多采用比表面积大、水流阻力小的填料,常见的由组合填料、软性填料、蜂窝填料和弹性填料,特别是组合填料和软性填料使用尤其广泛。填料的比表面积非常大,并且由于为软性材料,水流容易通过,水流阻力小,不易堵。填料通过位于水底和水面的两个支架进行固定,固定的形式有井字形排列和梅花形排列两种方式,如图5-26所示。
通过串状软性填料的安装,整个池内充满纤维状填料供微生物附着。由于生物量很大,需要强制曝气,一般采用隔膜曝气头进行充氧。
分流式接触氧化法将曝气充氧和生物接触稳定过程分开,在不同的隔间内进行,污水充氧后流向各个隔间进行单向或多向循环。这种形式的优点在于污水能够反复充氧,充分稳定,但是其水力停留时间长,曝气量大,能耗高,且水流经过填料时的流速较小,容易堵塞,所以在我国很少使用。

图5-26 串状填料的平面布置
2. 接触氧化法的特点
接触氧化法一般可以设置成推流式,通过在曝气池直接安装填料支架和填料的方式进行建设,使其兼具生物膜法和活性污泥法的优点,固着生长克服了活性污泥法易出现污泥膨胀和污泥量大的问题,曝气解决了生物膜法在高负荷时卫生条件不佳的问题,同时由于生物量大,其处理能力强,可以减少水力停留时间,池容小,占地面积小。
但是接触氧化法也存在污泥沉降性能差的问题,因为较大的负荷使得生物膜中增长很快,又在气泡扰动下脱落,被冲击变得细碎,影响沉淀性能。
五、生物流化床
生物流化床是生物膜法工艺中生物量最大,传质效果最好的工艺,是生物膜法新技术之一。
1.生物流化床的构造和工作原理
如果使附着微生物的固体颗粒悬浮于水中而又不随水流出,悬浮层上部与上清液有明显分界线,这种悬浮状态的生物膜反应器被称为生物流化床,其填料状态如图5-27所示。
生物膜及其载体的运动状态与水流的上升速度有关,因为填料的存在会影响上升水流流速,无法进行准确控制,所以以空塔流速实施控制。空塔流速低时载体颗粒呈静止状态,此时床层高度没有变化,称为固定床。随着空塔流速的增加,载体颗粒便被上升水流托起呈流化状态,床层高度增加,流化层与上方清液有明显的分界线,称为流化床。当空塔速度继续增加,床层高度继续增加,载体和生物膜就会随水流失,被称为移动床。因此在生物流化床的运行控制中,空塔速度不能过高也不能过低,具体与载体和污水的性质有关,应由实验确定。

图5-27 填料流化状态
流化床的填料一般选用砂粒、焦炭粒、无烟煤颗粒或活性炭颗粒等,颗粒直径一般0.6~1.0mm,为生物膜的附着提供较大的比表面积。1mm砂粒比表面积为3300㎡/m³,是一般生物滤池的50倍,因此流化床中能够附着相当高的微生物量,比一般活性污泥法高10~20倍,所以污水中有机物的降解速度很快,水力停留时间短,可容纳有机负荷很高。
2.生物流化床的类型和特点
根据流化床中是否存在气体,可分为两相生物流化床和三相生物流化床。前者反应器中只存在固、液两项,后者存在气、液、固三相。
(1)两相生物流化床
两相生物流化床依靠上升水流作用保持载体及附着其上的生物膜的悬浮状态,具体工艺流程如图5-28所示。整个工艺由充氧设备、流化床、脱膜装置组成,污水在流化床外充氧,进入流化床后与流化状态的生物膜充分接触,有机污染物被分解,出水进入二沉池除去随水流出的污泥。随着反应的进行,生物膜不断增厚,需要专用的机械脱膜装置除去载体表面的生物膜,脱膜后载体返回流化床,剥落的生物膜作为剩余污泥待进一步处理和处置。对于一次充氧不够的污水,需要回流至充氧设备中循环充氧。此外回流水增加了进水流量,有助于维持颗粒的流化状态。

(2)三相生物流化床
三相生物流化床不单独设置充氧设备,充氧和反应同时在流化床内进行,其结构如图5-29所示。由于存在空气的搅动,载体之间的摩擦较为激烈,所以三相生物流化床可以实现自动脱膜,不需要额外设置脱膜装置。流出的填料通过二沉池分离后重新回到池中。

三相生物流化床操作简单,能耗低、固定和运行成本比两相流化床低,但充氧能力比两相流化床低。
(3)流化床工艺特点
流化床工艺中生物膜相对于填料是固着的,填料是运动的,在上升水流作用下均匀分布在池中,这种运行方式使流化床工艺兼具了活性污泥法优良的生物与有机物接触条件和生物膜法能够承受冲击负荷,不产生污泥膨胀的优点。
流化床工艺介质的流化和吸附属于物化处理机理,生物膜降解有机物又属于生化处理机理,所以流化床工艺又兼具了物化法和生化法处理的优点,生物量大而不易堵塞。
六、生物膜法的运行管理
生物膜法和活性污泥法有不同的运行方式,其管理也有所不同。同为生物膜法的生物滤池、生物转盘、生物接触氧化和生物流化床的运行管理也存在差异。
1.生物膜的培养
生物膜的培养也称为挂膜,有自然挂膜法和接种挂膜法两种。
(1)自然挂膜法
可生化性强的污水可使用自然挂膜法,这种方法先将待处理污水小负荷进入生物膜反应器,进行闭路循环。1~2d更换一次循环液,直到载体表面出现一层黏性生物膜后,可改为小负荷连续进水(如进水浓度高,应回流),这一过程持续3~7d。
连续进水后,若生物膜逐渐增厚,则加大有机负荷(减少回流比或加大原水流量)。当出水指标达到设计要求即完成挂膜。
(2)接种挂膜法
可生化性较差的污水可使用接种挂膜法,这种方法需要在生物膜培养过程中引入污泥作为菌种,让污泥中的微生物在载体表面附着生长形成稳定的生物膜。将待处理污水与菌种污泥混合,进入生物膜反应器,闭路循环3~7d,待载体表面长出一层黏性生物膜后,再改为小负荷连续进水,直至各项出水指标达到设计要求即完成挂膜。
如菌种污泥来源水质与待处理水质差距较大,则应该先进行污泥驯化,之后再挂膜。
2.生物膜法运行状态监测
运行中需要对生物膜的性状、沉降性能和出水效果进行监测。生物膜性状通过镜检进行;沉降性能通过测定污泥沉降比和污泥指数进行监测;出水效果使用BOD5、COD、pH值、总磷、总氮、溶解氧等指标评价。
3.异常现象分析
生物膜法不易发生污泥膨胀,无需污泥回流,操作简单,运行稳定,但有时也会出现一些异常。
(1)滤料堵塞:生物滤池的滤料易堵塞,可能导致堵塞的原因有二:悬浮固体和生物膜堵塞。前者应对进水进行预处理去除悬浮固体,并松动滤床并清洗;后者应通过增加回流比或其他方法降低有机负荷,如堵塞严重应停止进水用高压水冲洗,加入少量氯杀死部分微生物,或加大生物转盘的转速。
(2)处理效率下降:处理效率下降可能的原因有很多,主要有供氧不足,水中含有毒物质,pH值和水温变化等。
有机物浓度高,耗氧速度快会导致供氧不足,此时应加大回流比,或进行强制通风,增加转盘转速,增加接触氧化和生物流化床的供氧量。
有毒物质和pH值等水质变化大冲击也可能会导致处理效率下降,可以增加回流比,缓冲水质变化,或对原污水水质调节之后再进行处理。
生物滤池和生物转盘的处理效果容易受气温变化的影响,冬季应采取挡风、保温、减小回流比(回流比增加容易降低水温)和降低进水负荷等措施。
(3)泡沫:只有三相生物流化床有时会产生大量泡沫,产生原因、处理措施与活性污泥法相同。
5.1.4自然生物处理
水的自然生物处理是指充分利用天然生态系统的净化能力,通过人为强化或条件优化等方式进行水处理的技术,如对天然水塘、湿地等适当修整进行水处理,前者属于稳定塘,后者属于土地处理。
自然生物处理具有费用低廉(基建费用和运行费用只相当于二级处理厂的20~40%和5~10%),对难降解有机物、氮磷营养物质和细菌的去除率都较高,出水一般高于常规二级处理,在一定条件下生物稳定塘还能够作为养殖塘加以利用、污水灌溉土壤处理也可以利用污水中的营养物质,可以用于处理生活污水和有机工业废水。
一、稳定塘
稳定塘又称氧化塘和生物塘,通常是将天然水塘或将土地进行适当修整而成的有机污水处理塘,为防止污水渗入地下水和地表水体,需要设置防渗层和围堤。稳定塘出水水质好,经济节能并能够实现污水资源化,所以其研究受到了一定重视,我国从上世纪50年代就开展了应用稳定塘处理城市污水和工业废水的研究,并陆续修建了一批稳定塘,其中至今仍然在运行的比较著名的有:湖北鄂城县以农药废水为处理对象的鸭儿湖稳定塘和处理城市污水的齐齐哈尔市稳定塘等。
根据塘中优势微生物群体的类型和溶解氧工况可以将稳定塘分为:好氧塘、兼性、厌氧塘和曝气塘。
1.好氧塘
好氧塘中溶解氧一般大于1.5mg/L,溶解氧主要来自于藻类的光合作用和水体自然复氧作用,塘深较浅(0.3~1.5m),面积相对较大,以利于阳光照射直达塘底,也有利于氧的扩散。
(1)好氧塘处理原理
好氧塘内的生物种群主要有细菌、藻类、原生动物、微型后生动物、水生植物和其他水生动物,其工作过程和处理原理如图5-30所示。

图5-30 好氧塘处理原理
好氧细菌主要活跃在水深0.5m以上,密度约为1×108~5×109个/mL,主要种属与好氧活性污泥法和生物膜法类似,原生动物和微型后生动物数量和种类均不如活性污泥法多,但在好氧塘的生态系统平衡、减少污泥量等方面发挥了重要作用,微型后生动物如水蚤还可以捕食藻类和细菌,对防止其过度繁殖有积极作用。
藻类的种类和数量与塘的负荷有关,它可以反映好氧塘的运行状况和处理效果,如果塘内有机物负荷过高,会引起藻类过度繁殖,形成水华。
好氧塘昼夜的工作状态也不同,夜间由于藻类停止光合作用,且呼吸作用会消耗水中溶解氧,在凌晨时水中溶解氧达到最低。
(2)好氧塘的分类及特点
根据好氧塘的有机负荷可以将其分为高负荷好氧塘、普通好氧塘和深度处理好氧塘。高负荷好氧塘深度浅、有机负荷高、水力停留时间短、适于气候温暖、光照充足的地区使用;普通好氧塘有机负荷稍低,水力停留时间长;深度处理好氧塘一般用于处理污水厂二级出水,所以有机负荷很低,出水水质好,三种好氧塘的典型参数见表5-3。
好氧塘降解速度快,处理程度高,出水水质好,但出水中含有细菌和藻类,排放前需要及进行处理。好氧塘可以根据水质和处理要求单独使用,也可以串联在其他稳定塘之后,确保出水水质或进行深度处理。
2.兼性塘
兼性塘是最常见的一种稳定塘,其有效水深一般在1-2m,沿池深方向从上到下可以分为三层:上部的好氧层、中间的兼性层和底部的厌氧层,如图5-31所示。

图5-31 兼性塘处理原理
好氧层溶解氧充足,净化原理与好氧塘类似;兼性层溶解氧降低,主要是异养型兼性细菌成为优势菌种,能利用少量溶解氧进行有机物的氧化分解,还能再缺氧时以NO3-、CO32-作为电子受体进行无氧代谢,将有机物分解为小分子中间代谢产物(有机物),为好氧分解提供易于利用的营养物质;厌氧层即污泥层,没有溶解氧,水中微生物和动植物残体沉积于此,厌氧微生物通过甲烷发酵形式进行有机物部分分解。
兼性塘的投资成本小,管理方便,耐冲击负荷能力强,对有机物处理程度高、出水水质好,能够适应多种污水的处理,应用于城市污水和工业有机废水的处理。
3.厌氧塘
厌氧塘的有效水深一般为2.5~5.0m,有机负荷高,有利于形成厌氧条件。厌氧塘进水口设在池底部,距塘底0.6~1.0m,以便进水与塘底污泥混合,如图5-32所示。厌氧塘的工作机理与控制和其他厌氧生物反应器类似,利用厌氧微生物的酵解将高浓度或难降解有机物部分分解为小分子有机物。

图5-32 厌氧塘处理原理
厌氧塘具有以下优点:1有机负荷高,耐冲击负荷能力强;2由于塘深,同样处理量条件下占地面积小;3所需动力少,运行费用低;4一般作为预处理,置于塘系统前部,可以大大减少后续稳定塘负荷,减小池容。适用于高温、高浓度的有机废水处理,如食品、生物制药、石油化工、屠宰畜牧、养殖场等有机工业废水。
但厌氧塘也具有会散发臭味、温度难以控制、净化效率低、污水停留时间长(城市污水的水力停留时间一般为30-50d)等问题。
4.曝气塘
对好氧塘进行强化曝气就是曝气塘,在好氧塘表面安装人工曝气设备,通过充氧增加水中溶解氧含量,同时对塘水进行搅动,增强传质过程。曝气塘可以采用的曝气形式有表面机械曝气和鼓风曝气。曝气塘实质上是介于活性污泥法中的延时曝气工艺与稳定塘之间的一种工艺。
根据曝气强度,曝气塘可分为完全混合曝气塘(好氧曝气塘)和部分混合曝气塘(兼性曝气塘),前者曝气功率足够大,能够使塘中全部生物污泥处于悬浮好氧状态;后者曝气功率仅能够使部分生物污泥处于悬浮状态。实践证明,对于3~5m的曝气塘,表面曝气机功率为6kW/1000m³时,呈好氧曝气塘状态,功率1kW/1000m³时,呈兼性曝气塘状态。
曝气塘的水力停留时间短(3-10d)、占地面积小,处理程度高、出水水质好,耐冲击负荷能力强,藻类较少;但其因为需要曝气、动力消耗大、运行费用高,需要设置沉淀池进行泥水分离。
5.生态系统塘
除了以上四种主要靠微生物起净化作用的生物稳定塘外,还有在稳定塘内(好氧或兼性塘)种植水生生物和放养水生动物的养殖塘,统称为生态系统塘。养殖的植物或动物与原生动物、浮游动物、底栖动物、细菌、藻类之间通过相互协调的食物链构成复杂的水生生态系统,既能进一步提高出水水质,也能减少藻类的含量。
(1)水生植物塘
水生植物对污染物的净化,主要是通过两种途径完成的:一是植物根系对氮磷等营养物质的吸收和富集;二是利用起根系上附着的生物膜对有机物进行降解。
这种植物塘中具有水生动物所必需的溶解氧和饵料,具备养殖鱼类、蚌和鸭、鹅等家禽的良好条件,通过微生物、水生生物的生化反应,将水中有机污染物进行异化代谢(分解)和合成代谢(合成细胞物质),进而通过食物链的传递最终将其转化为动物蛋白。
(2)养殖塘
典型的养殖塘是养鱼塘,水深宜采用2~2.5m,养鱼塘一般采用多塘串联,前一、二级使污水中的有机物大幅度降低并培养藻类,水深宜浅一些;后三、四级主要培养浮游动物,它们以好氧塘的藻类为食料,又作为后续养鱼塘的鱼类饵料;最后一级为养鱼塘。
6.稳定塘的特点
综合来看稳定塘具有如下优点:
a.便于因地制宜,充分利用空闲余地,基建投资低;
b.氧化塘利用自然水体的净化能力,运行维护方便,能耗低;
c.处理后的污水一般能够达到灌溉要求,有利于实现污水的资源化利用。
但它也存在一些弊端:
a.占地面积大,如果没有足够的空闲余地,不建议使用稳定塘处理;
b.处理效果不稳定,出水水质受温度、光照等因素控制,尤其冬季出水往往难以达标(可采用控制出水塘将污水加以贮存,待天气转暖再正常运行);
c.底泥淤积严重,易形成二次污染,如果防渗措施不当,可能会污染附近水系和地下水;
d.厌氧塘会散发臭气,并有蚊蝇滋生。
e.如果稳定塘后续不接养殖塘,其出水中所含藻类较高,需要去除,是一项待解决问题。
二、土地处理
土地处理是指在人工控制条件下,将污水投配在土地上,通过由无机物、有机物、微生物组成的土壤团粒及其种植的植物进行一系列物理、化学、物化和生化净化过程,使污水得到净化的一种自然生物处理技术。
土地处理系统由污水预处理设备、污水调节贮存设备、污水输送和布水装置、土地净化田、净化水的收集和利用设备几部分组成,其中土地田是处理的核心环节。
1.土地处理系统对污水的净化机理
土壤对污水的净化作用很早就被人类利用,古人很早就发现山泉水水质清冽,并使用山泉水烹茶,明代《茶笺》一书就记载了:“山泉为上,江水次之”,可见山泉水水质能够满足古代对水质有最高要求的烹茶。而山泉水之所以有如此地位实质得益于土壤中的砂粒等颗粒对水中污染物的吸附、截留以及土壤中微生物的分解净化作用等。具体来说土地处理的净化机理主要包括以下几种。
(1)物理过滤
土壤颗粒间的孔隙能够截留、滤除水中悬浮颗粒。污水流经土壤,悬浮物被截留,污水得到净化。影响土壤过滤净化效果的因素有:土壤颗粒的大小、颗粒间孔隙形状和大小、孔隙的分布以及污水种悬浮颗粒的性质、多少与大小等。如悬浮颗粒过粗、过多以及微生物代谢产物过多等都能导致产生土壤颗粒的堵塞。
(2)吸附作用
在非极性分子之间范德华力作用下,土壤中的粘土矿物颗粒能够吸附土壤中的中性分子。污水中部分重金属离子在土壤胶体表面(阳离子交换),被交换吸附而生成难溶性金属盐与水分离。
(3)化学反应与沉淀
重金属离子还能与土壤中的某些组分进行化学反应生成难溶性盐沉淀。
(4)微生物代谢作用
在土壤中生存着种类繁多、数量巨大的土壤微生物,它们对有机固体和溶解性有机物有很强的降解和转化能力,这是土壤具有强大净化能力的原因。
此外土壤上种植的植物还可以对有机物、氮磷等营养物质和重金属进行吸收,植物根系还能够增加土壤的通气性能,也能够土壤中的微生物提供良好的生存环境。通过以上作用土地处理系统能有效去除水中悬浮物、有机物、重金属、氮磷营养和病原体。
2.污水土地处理系统工艺
土地处理系统根据所使用土壤类型,基本工艺分为慢速渗滤、快速渗滤、地表漫流、湿地处理和地下渗滤。
(1)慢速渗滤处理系统
慢速渗滤与农田灌溉类似,是将污水投配到种有作物的土地表面,污水缓慢地在土地表面流动,并向土壤中渗滤,一部分污水直接被作物吸收,一部分则渗入土壤在被微生物-土壤综合作用下使污水得到净化的土地处理工艺。
渗滤田种植农作物、牧草或树木等植物。污水经喷、漫或沟灌均匀分布于渗滤田表面,适用于渗水性良好的土壤。慢速渗滤系统滤速慢,处理水量小,部分污水被植物吸收和蒸发,污染物去除率高,出水水质好。
(2)快速渗滤处理系统
快速渗滤工艺是将污水投配到具有良好渗滤性能的土地(砂土、砾石性沙土等)表面,在污水向下渗滤的过程中,通过过滤、沉淀、氧化还原及微生物分解等一系列物理、化学、物化和生化反应作用下,使污水得到净化的土地处理工艺。
处理时周期性地进行灌溉和休灌交替,使得土壤中截留的悬浮有机物被微生物充分降解,以保持较高的滤速;同时使得土壤处于厌氧-好氧相交替的状态,对脱氮除磷有一定作用。出水由地下集水管或井群收集利用。
快速渗滤主要通过微生物的分解转化和土壤的过滤吸附作用去除污染物,净化效果高,去除大肠杆菌能力强,去除率可达99.9%。进入快速渗滤的污水应经过适当预处理,一般经过一级处理即可。
(3)地表漫流处理系统
地表漫流是将污水有控制地投配到有多年生牧草、坡度和缓、土壤渗滤性差的土地上,使得污水在地表形成很薄的水层,少量污水蒸发或渗入地下,大部分流入低处集水沟。污水在流动过程中借助植物吸收和栖息在植物根部的微生物分解污染物,使污水得到净化。地表漫流处理系统进水需要经过适当预处理,如格栅、筛滤等,其出水水质相当于好氧生物处理出水水质,此外污水漫流流域种植作物具有一定的经济效益。
(4)湿地处理系统
湿地处理系统是将污水投配到土壤经常处于水饱和状态且生长有芦苇等耐水性植物的沼泽地上,污水沿一定方向流动,在流动的过程中,在耐水植物和土壤联合作用下,污水得到净化的土地处理工艺。
湿地对污水净化的机理是多方面的,主要有物理沉降作用、植物根系的阻截作用、某些物质的化学沉淀作用、土壤及植物表面的吸附与吸收作用、微生物的代谢作用等等,此外植物根系的某些分泌物对细菌和病毒有灭活作用。
湿地处理系统常见类型有天然湿地系统、自由水面人工湿地、人工潜流湿地。
(5)地下渗滤系统
地下渗滤系统是将经过化粪池或酸化水解池预处理的污水有控制地通入设于地下距地面约0.5m渗出的渗滤田,在土壤的渗滤作用和毛细管作用下,污水向四周扩散,通过过滤、沉淀、吸附和微生物降解作用下净化污水。
3.土地处理系统的特点
地下渗滤系统具有设于地下,无损地面景观,且能够种植绿色植物美化环境;受外界温度变化影响小;易于建设、便于维护、不堵塞、投资和运行费用低;对进水负荷变化适应性强等优点,可用于农灌、城市绿地浇灌等场合。
土地处理系统能够经济有效地净化污水;充分利用污水中的营养物质和水,强化农作物、牧草和林木的生产,促进水产和畜牧的发展;采用污水土地处理系统,能够进行景观绿化,建立良好的生态环境,因此,土地处理也是一种环境生态工程。

