-
1 知识点
-
2 课件
-
3 课堂练习
-
4 课后巩固
-
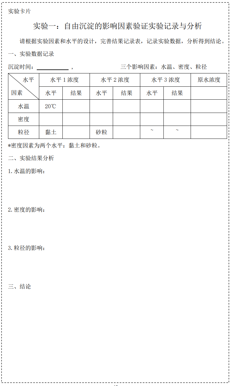
5 沉淀实验
根据悬浮固体密度与水的差异,水中悬浮固体的去除总体上可以分为两类:与水密度差异大的悬浮固体使用沉淀法或浮上法,在重力或浮力作用下分离;与水密度差异小的悬浮固体则利用截留机理使其去除,如过滤和微滤。
3.2.1沉淀
沉淀法去除对象是水中密度大于水的悬浮固体,在重力作用下利用固体和水的密度差进行分离,悬浮固体密度与水差距越大,越容易沉淀下来。这是一种物理过程,简便易行,效果良好,成本低廉,是污水处理的重要技术之一,是水处理工艺中不可缺少的。通常能够去除水中颗粒粒径在0.1mm以上的悬浮固体。
一、沉淀的作用
在不同的水处理系统中,甚至是不同的位置上,沉淀的作用有所不同:
1.作为化学处理和生物处理的前处理,减轻后续处理的负荷——初沉池;
2.用于化学处理或生物处理后,分离化学污泥或生化污泥——二沉池;
3.用于污泥浓缩脱水,减少污泥体积——污泥浓缩池;
4.用于去除砂粒等无机颗粒物,避免损伤水泵、闸门及其他水处理设施——沉砂池。
二、沉淀的类型
按照水中悬浮颗粒的浓度、性质及其絮凝性能的不同,沉淀现象可以分为以下几种类型。
1.自由沉淀
悬浮颗粒的浓度低,在沉淀过程中颗粒物互不碰撞、黏合,呈单颗粒沉降状态,颗粒形状、尺寸及密度均不改变。
2.絮凝沉淀
悬浮物浓度在50~500mg/L时,沉淀过程中颗粒之间能够发生凝聚或絮凝作用,浓度低的悬浮颗粒的沉淀,由于絮凝作用颗粒质量增加,沉降速度加快,沉速增加。
3.拥挤沉淀
水中颗粒物的浓度比较高(大于500mg/L),在沉降过程中存在颗粒之间相互干扰,沉速大的颗粒也无法超过沉速小的颗粒,各自保持相对位置不变,颗粒群合成一个整体下沉,泥水出现明显的分界线,并随沉降时间的增加逐渐向下移动,因此也称为成层沉淀。
4.压缩沉淀
一般发生在高浓度的悬浮颗粒的沉降过程中(可视为拥挤沉淀的继续),颗粒相互接触、支撑,并受上层压缩物的挤压,下层颗粒间隙中的液体被挤出界面,颗粒群被浓缩。
你能根据上述沉淀种类的特征,分析以下水处理构筑物中沉淀的类型吗?
三、沉淀分离效果的分析
1.沉淀效率
为了分析沉淀的普遍规律和评价分离效果,我们首先需要明确评价沉淀效果的参数:沉淀效率,其定义为沉淀去除的悬浮物浓度占原悬浮物浓度(c0)之比,如式3-1所示。
(式3-1)
式中:c为经过沉降时间t之后,水样中的悬浮物残留浓度。
污水中的悬浮物实际上并不是完全相同的,而是大小、形状及密度都不相同的颗粒群,其沉淀性能也各不相同,想要提高沉降效率实质上是需要将更多颗粒物沉淀下来。
2.理想沉淀池与沉淀规律
明确沉淀效率的含义之后,借助理想沉淀池模型(图3-4)进行沉淀规律的分析。理想沉淀池模型满足以下三个假设:a.从入口到出口,池内污水按水平方向匀速流动,颗粒分布均匀;b.悬浮颗粒在整个水深方向上均匀分布,处于自由沉淀状态,颗粒水平分速等于水流速度,沉降速度固定不变;c.颗粒沉淀到池底即认为被除去。

图3-4 理想沉淀池示意图
根据上述假设,悬浮颗粒在沉淀池内的运动轨迹是一系列倾斜的直线。其中以AD线为界,在AD以上的轨迹(如E颗粒的轨迹AE线)则表示该颗粒未能在固定的时间t内沉降至污泥区,随水流出未被分离。不难发现D颗粒正好在t时间内沉降,它的运动是在水平方向的水流推动(水平分速为水流流速v)和垂直方向力(重力与浮力的差值,垂直分速即沉降速度为ud)共同作用下完成的,因此把其沉降速度ud称为临界沉降速度,计为u0。
观察图3-4中理想沉淀池的各项参数,可以发现它们之间有如下关系:
(式3-2)
(式3-3)
式中:L——池长;
H——沉降区有效水深;
v——污水的水平流速、即颗粒的水平分速;
u0——临界沉降速度;
t——污水在池内的停留时间、沉降时间;
Q——进水流量;
V——沉降区容积,V=A×H;
A——沉降区平面面积,A=L×B;
B——池宽。
式3-3中流量与沉降区平面面积的比值通常称之为表面负荷率,也称过滤率,用符号q0表示,它与u0在数值上是相同的,但单位不同,q0单位为m³/(s·㎡),表示沉降区每平方米过滤面积承担的流量负荷;后者为速度单位m/s。
另外需要说明的是实际沉淀池中,由于紊流、水温、进出口水流不均匀等因素的影响,污水在池内的实际停留时间要比在静态沉淀试验中短,所以进行沉淀池设计和核算时需要加以修正,可参考下式。

式中q0、u0、t0分别为静态沉淀实验的表面负荷、最小沉速(临界沉速)和沉降时间,qd、ud、td分别为沉淀池的设计表面负荷、最小沉速和沉降时间。
四、沉淀的影响因素
从颗粒物的自由沉淀和在沉淀池中的沉淀这两个方面进行沉淀的影响因素分析。
1.自由沉淀影响因素
颗粒物的自由沉淀过程是这样的:在重力、浮力以及水的阻力作用下,颗粒物达到平衡状态匀速下沉。对于层流状态(指Re<2的沉降状态),直径为d的球形颗粒,其沉降速度可用斯托克斯公式(式3-7)表示。
![]()
式中:u——颗粒沉降速度,m/s;
ρs、ρ——颗粒、水的密度,g/cm³;
g——重力加速度;
d——颗粒粒径(球形当量粒径),cm
μ——水的动力黏滞系数,与水温有关,g/(cm·s)
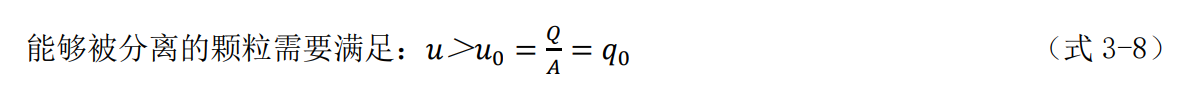
2.沉淀池沉降效率的影响因素
实际发生在沉淀池中的沉淀与理想沉淀池类似,颗粒除了在垂直方向进行自由沉淀,在水平方向也有流速。通过理想沉淀池的分析我们知道判断这些悬浮物能否在停留时间t之内被分离的依据是颗粒物的沉降速度u大于临界沉降速度u0,结合对颗粒物自由沉淀和临界沉降速度的分析,可以得到式3-8。
![]()
提高沉降效率的关键是让更多原本在时间t内不能沉淀下来的颗粒物沉淀,有两种思路:一是增加颗粒物自身的沉降速度;二是降低沉降临界速度,而沉降临界速度数值上即为表面负荷率,所以降低沉降区的表面负荷率也可提高沉降效率。
综上所述,在实际处理工程中影响沉降效率的因素主要有颗粒粒径、颗粒密度、和表面负荷率(实际处理中水温较难改变可不列入)。而与池深及沉降时间无关,因此可以尽可能把沉淀池设计得浅一些,表面积大一些,这就是颗粒沉淀的浅层原理。
你能尝试在普通沉淀池的基础上利用浅层原理构建效率更高的沉淀池吗?
五、沉砂池的构造与工作方式
沉砂池的功能是从污水中分离相对密度较大的无机颗粒物,如砂粒、炉灰渣等。它一般设置在泵站、沉淀池之前,作用主要有1保护设备和管道免受磨损;2能使沉淀池中的污泥有良好的流动性,防止排泥管道被堵塞;3同时还能使无机颗粒和有机颗粒分离,便于后续分离和污泥进行分类处置。
常用的沉砂池有平流式沉砂池、曝气沉砂池和钟式沉砂池,下面介绍平流式沉砂池和曝气沉砂池的构造和工作方式。
1.平流式沉砂池
平流沉砂是常用的沉砂池池型。其发生沉降的部分实质上是一个加宽加深的明渠,两端设有闸板,以控制水流,池底设1~2个贮砂斗,如图3-5所示。可以利用重力排砂,也可使用机械排砂,如螺旋泵排砂。


图3-5 平流式沉砂池示意图
沉砂池的座数或分格数一般不少于两个,且并联设计,若污水量较少,可考虑一用一备。其主要参数如下:池内流速为0.15~0.3m/s,水在池内的停留时间为30~60s,有效水深不大于1.2m,每格宽度不小于0.6m,泥斗容积按2天内沉砂量考虑。
你能根据上述描述和平流式沉砂池示意图表述其工作方式吗?
沉砂池的沉砂属于无机污泥,含水率不高,城市生活污水一般不超过60%。
平流式沉砂池结构简单,截留效果好,造价低廉,运行维护简单,但也具有占地面积较大,静水压力不高导致排泥困难等问题。此外因为砂粒中常混有有机杂质,易腐败,也存在卫生条件不佳、污泥处理困难等问题。
2.曝气沉砂池
针对沉砂中有机杂质混杂,影响沉淀、造成沉砂腐败的问题,采用曝气沉砂池可以一定程度上解决此问题。曝气沉砂池是一长形渠道,沿池壁一侧的整个长度方向上安装曝气装置(距池底60~2250px高度上),下部设集砂斗,如图3-6。

图3-6 曝气沉砂池结构示意图
曝气沉砂池中的水流在池内停留时间为1~3min,水流前进流速为0.08~0.12m/s,空气应能保证池水中的旋流速度在0.3m/s左右,曝气量为3~5m³/(㎡·h),有效水深为2~3m,宽深比为1~1.5。如果将污水停留时间延长到20~30min,可兼做预曝气池。
你能根据上述对曝气沉砂池特点的介绍和结构图完成曝气沉砂池的工作方式描述吗?
曝气沉砂池与普通沉砂池相比有以下优点:
1沉砂池中有机物含量低,不易腐败,无异味;
2具有预曝气作用,可脱臭,改善水质,降低后续处理负荷。
六、沉淀池的构造与工作方式
沉淀池是进行泥水分离的一种常见构筑物,根据池内水流方向不同,可以分为平流式、竖流式、辐流式和斜流式四种。
1.平流式沉淀池
平流式沉淀池呈长方形,水在池内按水平方向流动,从一端进入,从另一端流出,平流式沉淀池结构如图3-7所示。

图3-7 平流式沉砂池结构示意图
按功能区分,沉淀池可分为流入区、流出区、沉降区、缓冲区、污泥区五个部分。各个部分功能如下:
流入区的功能式使水流尽可能均匀、平稳地进入沉降区。为避免进水管中流速较大的污水对沉降区造成冲击,影响沉降效率,一般会在流入装置设置潜孔,在潜孔后(沿进水方向)设置挡板,消除入流污水冲击,同时也能使入流污水在池内均匀分布。入流处的挡板一般高出水面0.1~0.15m,挡板的浸没深度在水面以下不少于0.25m,并距进水口0.5~1.0m。
沉降区是可沉悬浮固体与水分离的区域,该区域应尽可能保持流态稳定,减少扰动。缓冲区的作用是保证已经沉入池底与泥斗的污泥不再浮起,有一层分隔沉降区与污泥区的水层,厚度约为0.3~0.5m。
流出区设有流出装置(多采用自由堰形式),出水堰可用来控制沉淀池内的水面高度,且对池内水流的均匀分布有直接影响,出水溢流堰(常见的锯齿形三角堰如图3-8所示)安置在整个出水口,最大负荷不超过2.9L/(m·s),即每米溢流堰通过的污水流量不大于2.9L/s,为了改善出水水质,溢流堰也可以采用多槽沿程布置的方式,减少单个溢流堰的负荷。为防止浮渣随水流出还应在堰前设置挡板。

图3-8 三角出水堰
污泥区用于暂时贮存和排出污泥,在沉淀池前端设有泥斗,其他部分池底有0.01~0.02的坡度,便于污泥落入泥斗。污泥在泥斗内通过排泥管排出,排泥方式分为重力排泥和机械排泥,重力排泥需要静水压力大于1.5m,较深的构筑物污泥所受的静水压力越大,重力排泥越容易。刮泥车往复运动,通过将坡底污泥刮入泥斗辅助污泥的收集。通过设置多个泥斗,也可以不采用刮泥车。
你能根据图3-7和上述对平流沉淀池的介绍进行其工作方式描述吗?
2.竖流式沉淀池
竖流式沉淀池多用于小流量废水中悬浮固体的分离,池面多呈圆形或正方形,如图3-9所示。上部为沉降区,下部为污泥区,两者之间有0.3~0.5m的缓冲层。

图3-9 竖流式沉淀池结构示意图
沉淀池运行时,废水经进水管进入沉淀池中心管,布水器出口向上使得污水能够以溢流方式进入,减少对中心管中污水的扰动。污水通过进水口下方出口进入截面积相对大的多的沉淀区,流速迅速降低,保持平稳、缓慢的流态进入,在反射板的阻挡下向四周分布,并沿沉降区断面缓慢上升。沉速大于水流上升速度的颗粒沉到污泥区,澄清水则由设置在周边的溢流堰溢流进入集水槽排出,表面的浮渣被挡板拦截、收集。池底椎体为泥斗,与水平倾角不小于45°,由于池深较大,一般采用静水排泥即可。
你能根据上述表示完成图3-9中各部分组件的名称填空吗?
竖流式沉淀池的直径为4~8m,沉淀区的水流上升速度一般采用0.5~1mm/s,沉淀时间为1~1.5h。为保证水流自下而上垂直流动,要求沉淀池直径与有效深度之比不大于3:1。中心管内水流速度不大于0.03m/s,有反射板时可提高到0.1m/s。污泥斗的容积视沉淀池功能而各异,若为初沉池则以储存24h污泥量确定容积,若为二沉池,污泥停留时间以2h为宜。
相比于平流式沉淀池,竖流式沉淀池排泥容易、不需要机械刮泥设备,占地面积小。但缺点也较为明显:单池造价高、池容小、施工困难,处理效率略低,不适用于大规模、处理量较大的污水处理厂。
3.辐流式沉淀池
辐流式沉淀池是一种圆形、直径很大而有效深度相对较浅的沉淀池,池子的直径一般在20~30m以上,最高可达100m,池周水深为1.5~3m,池中心水深2.5~5m,辐流式沉淀池结构如图3-10所示。

图3-10 辐流式沉淀池结构示意图
刮泥机由桁架和传动装置组成,表面刮渣板固定其上,当辐流式沉淀池直径在20m以下时采用中心传动,当池径大于20m时采用周边传动。其旋转的周边线速度为1~1.5m/min。
你能根据辐流式沉淀池的机构图和上文对其特点的介绍完成其工作方式填空吗?
4.斜板(管)沉淀池
斜板沉淀池时根据浅层原理构建的一种池型,即沉降效率与表面负荷及颗粒沉速有关,而与池深及沉降时间无关,因此可以尽可能把沉淀池设计得浅一些,表面积大一些,降低表面负荷。所以从理论上来说,把一个沉淀池在深度方向上分隔成n个 “浅池”,进水被分流分别进入,相当于沉淀面积是原来沉淀池的n倍,大大提高了沉降效率。但是横向的隔板无法排泥,因此把隔板倾斜(倾角50~60°),或采用斜管,就成为了斜板(管)沉淀池,由于其水流方向相对于平面是呈倾斜方向的,也称为斜流式沉淀池,其结构如图3-11所示。

图3-11 斜板沉淀池结构示意图
图3-11是一种异向流斜板式沉淀池,即上向流。斜板长度通常采用1~1.2m,倾角60°,板间垂直间距不能太小,以8~300px为宜。为防止污泥的上浮,在斜板和泥斗之间应留有0.5~1m的缓冲区。
斜板(管)沉淀池的水流接近层流状态,对沉淀有利,且增加了沉淀面积、缩短了颗粒沉降距离,因而能够大大减少污水在池中的停留时间,初沉池停留时间30min,因此具有较强的处理能力,占地面积也不大。但造价相对较高,且沉淀池上部在阳光照射下易造成藻类的大量繁殖,增加了污泥量,易在板间积泥,不宜用于处理黏性较高的泥渣。
3.2.2浮上(隔油)
密度大于水的颗粒可以通过沉淀进行分离,密度小于水的颗粒则可以通过浮上法进行分离。密度小于水的颗粒主要是油类,在石油开采、炼制和石油化工生产过程中,会排放出大量的含油废水;毛纺工业、屠宰场废水中也含有大量油脂;焦化厂、煤气厂废水中含有焦油。在污废水的处理中,上述油类物质必须回收利用或处理。
一、含油污水的特征
污水中的油以四种状态存在。
(1)浮油:浮油一般指在2h静止状态下可浮于水面的油珠,直径在100~150μm,在污水中呈悬浮状态,它与水的密度差较大,容易从水中分离出来。浮油占含油污水的主要组分。
(2)分散油:分散油是悬浮于水中的微小油珠,粒径一般在10~100μm,不稳定,稳定一段时间之后往往形成浮油。
(3)乳化油:乳化油是非常细小的油滴,粒径小于10μm,常以乳化状态存在,即即使长时间静置也难以从水中分离出来。这主要是因为乳化状态是油滴表面存在双电层或受乳化剂的保护,阻碍了油滴之间的合并,使其保持稳定状态,如图3-12所示。左边为皂性极性端在水中电离后形成COO-,使负电荷包围油粒,其能继续吸附水中正电荷形成双电层结构;右边为亲水性固体粉末(固体乳化剂)黏附在油粒表面,形成了乳化层,增强了油粒的亲水性,使其难以被从水中去除。要去除乳化油,必须先经过破乳将其转化为浮油,再进行分离。

图3-12 双电层和乳化层示意图
(4)溶解油:在水中呈溶解状态的油微粒称为溶解油,油珠粒径有的可以小到几纳米,其溶解度也很小,如脂肪烃的溶解度一般仅为5~15mg/L。
二、隔油池的类型和构造
在重力作用作用下,利用水中油类和水密度的差异进行除油的构筑物即为隔油池。目前常用的隔油池有平流式隔油池和斜流式隔油池,此外为了解决乳化油处理困难的问题,可以借助粗粒化装置促进破乳和油滴的合并。
1.平流式隔油池
平流式隔油池的构造如图3-13,污水自进水管流入,经配水槽进入油水分离区。密度小的油粒上浮至水面,密度大的颗粒沉入泥斗或池底,浮渣、沉渣分别在链带式刮油泥机(小型平流式隔油池可不设置)的作用下进入集油管和泥斗被排出,澄清的水从出口排出。


图3-13 平流式隔油池结构示意图
污水在池内的停留时间一般为1.5~2h,水平流速很低,一般为2~5mm/s,最大不超过10mm/s,以利于油粒的上浮和沉渣的沉降。池长与池深之比不小于4,池上应加盖板,以防止油类气味的散发,同时能够起到防雨、防火和保温的作用。平流式隔油池构造简单、运行管理方便,可以去除150μm粒径以上的油粒,效果稳定。但是其缺点是占地面积大、处理能力低、排泥困难、除油效果一般为60%~80%,出水中仍含有乳化油,一般很难达到排放要求。
2.斜板式隔油池
斜板式隔油池的去除原理和构造和斜板式沉淀池类似,都是利用浅层原理构造,区别在于隔油主要去除的是含油污水,污水流经过隔油池斜板时主要发生的是油粒上浮至上一层斜板的下表面,随即上升进入集油管被收集排出;而斜板沉淀池主要去除的是可沉固体,其水流经过斜板区时,可沉固体降落至本层斜板的上表面接入滑落进入池底。
另外为了增加油粒的分离和收集效果,斜板式隔油池的“斜板”一般会采用亲油性波纹板,斜板的安装间距为20~50mm,间距较沉淀池小的原因是它的使用场合一般为含有污废水中油类的回收或处置,污水中一般含有黏性污泥和其他固体杂质不多,相对来说不易堵塞,可以把间距设置得小一些,以增加隔油面积。
斜板式隔油池可以分离的最小油粒粒径约为60μm、处理能力较强,污水在池中停留时间一般不大于30min。
3.粗粒化装置
对于粒径在60μm以下的部分分散油和乳化油等难分离油粒,可以采用粗粒化装置进行处理。其利用的是一种耐油、耐腐蚀的粗粒化材料组成的亲油性填充层,促进油粒的物理吸附、黏附、凝聚、破乳等过程,能够去除的油珠粒径可达1~2μm,固定床粗粒化装置结构如图3-14所示。
固定床一般是针对采用了填料的构筑物,这里把亲油性填充层就起到了填料的作用,固定床是指填料(床层)固定不动,通过水的流动实现分离目标的构筑物。

图3-14 粗粒化装置结构示意图
含油污水从下部进入,通过由亲油性纤维组成的填充层,油分被吸附并粗粒化成为油滴,通过填料层盖板小孔上浮至装置上部,聚集后定期排出。
粗粒化的材料有无机物和有机物两类。无机物由硅砂、分子筛、沸石、活性炭、硅藻土、玻璃纤维等。有机物主要是高分子聚合物,如聚酯、聚苯乙烯、聚氨酯等。
3.2.3气浮
自然沉淀和浮上法能去除的悬浮固体都是密度与水差异较大的,对于密度与水差异不大的颗粒,如乳化油等可以利用气浮的方法,改变颗粒的界面性质,利用微小气泡黏附其上,降低颗粒的密度使其能够上浮被收集。气浮法被广泛应用于细小悬浮物、藻类、微絮体的去除;也能够代替二沉池分离和浓缩剩余活性污泥和化学混凝产生的絮状化学污泥;此外还可用于工业废水中物料的回收,如纸浆纤维、乳化油等,当其用于物料回收时,也称之为浮选。
一、气浮原理
气浮过程实质上是一个物理化学过程,所以它属于污水的物化法处理。实现气浮必须满足两个条件:1向水中提供足够数量的微小气泡;2悬浮物能够黏附于气泡上。后者是气浮的最基本条件,也是决定气浮效果的关键。
1.微小气泡与悬浮物的黏附
水中通入气泡后并非所有的悬浮物都能与之黏附。这取决于该物质的润湿性,即能够被水浸润的程度,通常把易于被水湿润的物质称为亲水性物质,反之为疏水性或憎水性物质。水对各种物质润湿性的大小,可以用它们于水的接触角来衡量,如图3-15所示。接触角θ是气-液界面(气泡和溶液之间)张力σla与固-液界面(颗粒和溶液之间)张力σlp之间的夹角。


图3-15 亲水性和疏水性颗粒的接触角
接触角θ有两种情况:θ<90°和θ>90°,前者如图中颗粒2,其固体被水润湿的能力强,与气泡的黏附能力弱,且θ越接近0°越不能被气浮;颗粒2为亲水性颗粒;后者如颗粒1则为疏水性颗粒,其被水润湿能力弱而与气泡的黏附能力强,这种颗粒是容易被气浮的,而且θ越接近180°越容易被气浮。
对于θ<90°的亲水性颗粒需要加入捕收剂改善颗粒-水、颗粒-空气之间界面自由能,提高可浮性。常见的有:硬脂酸、脂肪酸及其盐类、胺类等。
此外对于乳化油,在气浮之前首先要破坏其外层的双电层或乳化层。一般通过向水中投加电解质,如硫酸铝等,以压缩油粒的双电层和破坏乳化层的混凝剂进行破乳。具体投加何种混凝剂、投加多少混凝剂,应通过对被处理水样进行试验得到。
2.气泡分散度与泡沫稳定性
气泡是气浮过程中去除颗粒物的载体,其数量、分散度和稳定性决定了气浮效果。
(1)微气泡数量及分散度
气浮对气泡的粒径油一定要求:实践证明,气泡直径在100μm以下的微气泡能够很好的黏附在悬浮固体表面,过大的气泡反而会在上升过程中造成水力搅动,产生的惯性撞击力还能撞开已经生成的絮凝物和附着气泡的颗粒物。另外,在同样曝气量的情况下较大的气泡意味着较少的气泡数量和较小的比表面积,这些都不利于气泡和悬浮固体的黏附。水中的微气泡数量越多、分散度越高,则气泡与悬浮颗粒接触、黏附的机会越多,气浮效果就越好。
(2)泡沫稳定性
已经浮到水面上的泡沫应保持一定的稳定性,但又不能过于稳定,否则难以运送和脱水,泡沫最适宜的稳定时间是数分钟。为此在污水中应含有一定浓度的表面活性剂(起泡剂),但是表面活性剂既有稳定气泡的作用,过多又会增加颗粒亲水性。
对于含污染物质不多的污水,气泡的分散性可能会称为影响气浮效果的主要因素,在这种情况下,污水中存在适量表面活性剂是适宜的。但当期数量超过一定限度后,表面活性物质反而会使油类严重乳化,导致气浮效果的下降。
在气浮过程中使用的捕收剂、起泡剂和用于提高气浮选择性、加强捕收效果的调整剂统称为浮选剂。
二、气浮设备
气浮法按照产生气泡的方法不同,可分为充气气浮、溶气气浮及电解气浮三类。
1.充气气浮
充气气浮是利用机械剪切力,将混合于水中的空气粉碎成细小的气泡,以进行气浮的方法。充气气浮所形成的气泡直径大约1000μm。根据所使用机械剪切方式的不同,充气气浮又可分为:水泵吸气管气浮、射流气浮、扩散板曝气气浮和叶轮气浮四种,最广泛使用的是叶轮气浮和射流气浮,下面对这两种充气气浮方式进行介绍。
(1)叶轮气浮
叶轮一般安装在气浮池底部,当叶轮在电机带动下旋转时,原本位于叶片上方的水被高速甩出,叶片上方就会出现负压区,会源源不断地通过安装在叶片上方的吸气管从空气中吸入空气,被吸入的空气随即又在高速旋转的叶轮作用下被切碎,形成微小的气泡,被甩出叶片,在导流板的整流作用下在池内平稳垂直上升,进行气浮。
使用叶轮气浮的气浮池一般采用正方形,边长不超过叶轮直径的6倍。叶轮直径一般为200~400mm,最大不超过600~700mm,叶轮转速900~1500r/min。池有效水深1.5~2.0m,最大不超过3.0m。气浮时间在15~20min之间为宜。
叶轮气浮的优点是设备不易堵塞,适用于处理水量不大、污染物浓度较高的污水,除油效果可达80%,但缺点是产生的气泡较大,气浮效果有限。
(2)射流气浮
射流气浮采用射流器进行气泡粉碎的方法,射流器是基于文丘里管构造的,其结构如图3-16所示。

图3-16 射流器结构示意图
水流从管中经过喷嘴再到喉管,由于管径显著降低,水流的流速迅速增加,此时喷随出口除形成负压,不断的通过吸气管吸入空气,水流携带空气在喉管中进行剧烈的能量交换,空气被粉碎成微小气泡,然后进入扩散段,在扩散段由于管径逐渐增加,水流的动能降低而势能增加,在此情况下进一步压缩气泡,增加了空气在水中的溶解度,之后进入气浮池进行气浮。
射流气浮法的优点是设备比较简单,投资成本低,但是动力损耗较大,喷嘴和喉管处容易被堵塞。
2.溶气气浮
溶气气浮是依靠水中过饱和空气,在减压时以细微的气泡形式释放出来的过程,产生气泡。溶气气浮方法形成的气泡直径只有80μm左右,并且可以人为控制气泡与污水的接触时间,净化效果优于充气气浮,应用也更为广泛。
根据气泡在水中析出时所处压力不同,可将溶气气浮分为加压溶气气浮和溶气真空气浮两类。加压溶气气浮通过在加压情况下将空气溶入污水形成过饱和状态,再通过减至常压将其以微小气泡形式释放;溶气真空气浮则是通过将正常压力下的污水抽真空至负压,使得污水中的空气过饱和,从而释放出来。由于溶气真空气浮始终需要在负压状态下运行,构造复杂,对气密性要求高,运行维护困难,实际应用不多。下面主要介绍加压溶气气浮。
(1)加压溶气气浮的基本流程
根据污水中所含悬浮物的种类、性质、处理水净化程度和加压方式的不同,基本流程有以下三种。
a.全流程溶气气浮
全流程溶气气浮是将全部污水进行加压,在泵前或泵后注入空气,图3-17为泵后注入。全部污水加压至3~4个大气压,在溶气罐内空气溶解于污水,再通过减压阀送入气浮池,溶于污水的空气在压力降低的情况下以微小气泡形式释放黏附于悬浮固体表面,将其上浮带出水面,形成浮渣。通过刮板将浮渣收集排入浮渣槽,排出池外,处理后污水通过溢流堰和出水管排出。


图3-17 全流程溶气气浮(泵后加气)
你能根据泵前加气流程绘制泵后加气全流程溶气气浮流程吗?
泵前加气由水泵压力管段(泵后)引出一支管返回泵前吸水管段,支管安装射流器,利用吸水管段的负压将泵后水吸入支管,在射流器作用下吸入空气与污水混合,省去了空气压缩机。此法简单,水气混合均匀,但是水泵必须要使用自吸式进水,且保持1m以上水头,且最大吸气量不能超过吸水量的10%,否则容易出现气蚀。
泵后加气一般在压力管上通入压缩空气。这种方法能够保证水泵工作稳定,但是需要由空气压缩机供给空气。为了保证气水混合效果,所需要的溶气罐容积也比较大,常采用较复杂的充气溶气罐。
全流程溶气气浮具有以下特点:溶气量大,增加了油粒或悬浮颗粒于气泡的接触机会;在处理水量相同的条件下,较部分溶气气浮所需的池容小;因污水全部加压,增加了含油污水的乳化程度,所需压力泵和溶气罐的容量均较大,投资和运行费用高;气浮前混凝处理所形成的絮凝体在加压减压过程中易破碎,影响混凝效果。
2部分溶气气浮
部分溶气气浮是取部分污水(通常为总水量的15%~40%)加压和溶气,其余污水直接进入气浮池,并在气浮池中与溶气水混合。
其特点为:较全部加压溶气气浮所需压力泵扬程小,动力消耗低;加压造成的乳化程度较全流程加压法低;气浮池的大小与全流程溶气加压法相同,但比部分回流法小。
3部分回流溶气气浮
部分回流溶气气浮是取一部分除油后出水回流进行加压和溶气,减压后进入气浮池,与进水混合、气浮的工艺。回流量一般为污水的25%~50%。

图3-18 部分回流溶气气浮工艺流程
你能从动力消耗、对混凝的影响、对乳化的影响、池容方面对比全流程和部分回流容器气浮工艺特点吗?
(2)加压溶气气浮的主要设备
加压溶气气浮的主要设备有加压泵、溶气罐、减压阀、溶气释放器和气浮池。
a.加压泵
加压泵主要用于提升污水,并对气水混合物加压,使受压空气溶于水中。
b.溶气罐
溶气罐是一个密封的耐压钢罐,罐上有进气管、排气管、进水管、出水管、放空管、液位计与压力表。空气与水在罐内进行混合、溶解,为了提高溶气量和速度,通常在罐内设置若干隔板或填料。溶气罐压力位0.2~0.4MPa,混合时间一般为2~5min。操作时需定期开启罐顶放空阀,将积存的未溶解空气排出,避免减少罐容,影响气浮效果。
c.减压阀
减压阀的作用是稳定溶气罐出口处的压力恒定,从而可以控制出罐后气泡的粒径和数量。也可以用低压溶气释放器来代替减压阀,溶气水流经过释放器时,由于形成强烈的搅动和涡流,产生微小气泡。
d.气浮池
目前常用的气浮池池型有平流式和竖流式两种,均为敞口式水池。其作用主要是从为微小气泡黏附于悬浮固体表面带起上升过程提供稳定的条件,浮渣由刮渣机除去。
平流式气浮池工作水深一般为1.5~2.0m,不超过2.5m,池深与池宽之比大于0.3。刮渣机的水平移动速度为5m/min,采用逆水流方向刮渣。竖流式气浮池的高度为4~5m,长、宽或直径一般在9~10m以内。中央进水室、刮渣板和刮泥耙都安装在中心转轴上,依靠电机驱动以同样的速度旋转。
3.电解气浮
电解气浮是对污水进行电解,通过在阴极产生的大量氢气泡进行气浮的方法,与此同时,阳极产生的氢氧化物起着混凝剂的作用,能使气浮过程和混凝过程结合进行,有助于污水中的污泥上浮或下沉。电解法产生的气泡粒径很小,仅由20~100μm,特别适用于脆弱絮状悬浮物的分离,同时电解还有降低BOD、氧化、脱色和杀菌的作用,对废水负荷变化适应性强,产生的污泥量少,占地面积小,不产生噪声等优点。
电解气浮常用的池型也是平流式和竖流式,下面以竖流式(矩形池)为例进行工作方式的介绍,其结构如图3-19所示。

图3-19 竖流式电解气浮池
进水经过整流板平稳经过电极组发生电解,在阴极生成氢气泡,在阳极生成氢氧化物与污水中物质进行混凝,形成矾花。气水混合物从出流孔进入分离室内进行气浮,较重的矾花落入池底,由排泥管收集排出,气浮产生的浮渣上浮到表面被来回移动的刮渣机收集排渣,出水经溢流堰排出,净化完毕。
三、气浮的特点
气浮法最早应用于洗煤水、石油污水的处理,随着工艺的发展在造纸、食品等工业废水处理和给水净化方面也有不少应用,对于油类及沉淀难去除的悬浮颗粒有很好的去除效果。
1.气浮的优点
(1)气浮池的表面负荷可达12m³/(㎡·h),水在池中的停留时间只需要10~20min,池深仅2m左右,占地面积小,投资省,效率高;
(2)气浮具有预曝气作用,出水和浮渣都含有一定量的氧,对去除水中的表面活性剂及臭味等有明显效果,能够减轻后续处理负荷,泥渣易于处理;
(3)对于低温低浊含藻废水,气浮法处理效率高,出水水质好;
(4)若作为活性污泥法泥水分离的设备(代替二沉池),可以消除污泥膨胀的我呢提,对曝气池的工作十分有利;
(5)浮渣含水率低,有利于后续污泥处理;
(6)可以进行物料的回收(浮选)。
2.气浮的缺点
(1)电耗较高,每吨水耗电量约0.02~0.04kW·h;
(2)设备维修管理困难,减压阀、释放器或射流器等设备易堵塞;
(3)气浮池多为敞口池,较大的风雨会影响浮渣的收集。
3.2.4过滤
我国古代即有利用过滤技术净化水的实践,如利用土壤过滤、更有用于净化烹茶水之器具:漉水囊。关于漉水囊,陆羽在《茶经》中记载了其形式“漉水囊若常用者,其格以生铜铸之”、“林栖谷隐者或用之竹木”、“其囊织青竹以卷之,裁碧缣以缝之”、“圆径五寸,柄一寸五分”。意思是漉水囊骨架(口径五寸,柄长一寸五分)常用生铜或竹木制作,用青篾丝编织,卷曲成袋型,再裁剪碧绿的绢固定其上。其过滤的基本原理是以竹丝为骨架,以双经双纬的“碧缣”作为过滤介质,截留水中的颗粒物,从而达到净化水的目的。

过滤的目的在于去除水中呈分散悬浮的固体物质(颗粒粒径在0.05μm~10μm范围内)也可以截留粒径更大的悬浮固体颗粒,对无机质和有机质粒子,也包含各种浮游生物、细菌、滤过性病毒与浮油、乳化油有较好的去除效果。不仅可以应用于给水处理和污水处理,还可应用于深度处理和污水回用,应用范围十分广泛。
一、过滤机理
过滤是通过具有孔隙的粒状滤料层(如石英砂)截留水中悬浮物和胶体而使水得到澄清的水处理技术。过滤主要去除的是是细悬浮固体,其进水浊度一般要求小于10度,通常作为污水回用前的把关步骤,或是处理要求更高的工艺前处理,如吸附和离子交换。
具体来说经过过滤的水具有以下特征:
(1)出水浊度大幅下降,出水变得透明;
(2)出水中有机物含量进一步降低,重金属、细菌等也得到部分去除。
滤池的过滤机理如下:
1.阻力截留
当污水自上而下流过颗粒滤料层时,粒径较大的悬浮固体颗粒首先被截留在表层滤料的空隙中,随着此层滤料的空隙越来越小,截污能力也变得越来越强,逐渐形成了一层由被截留固体颗粒组成的滤膜,并由它起重要的过滤作用。这种作用力的实质是阻力截留或筛滤作用。悬浮固体粒径越大,表层滤料进而滤速越小,表层滤膜就越容易形成,滤膜的截污能力也越好。
2.重力沉降
污水通过滤料层时,众多的滤料表面提供了巨大的沉降面积。重力沉降强度主要与滤料的粒径及滤速有关。滤料粒径越小,沉降面积就越大;滤速越小,则水流越稳定有利于悬浮固体的沉降。
3.接触絮凝
由于滤料具有巨大的比表面积,它与悬浮固体之间也有明显的物理吸附作用。此外,砂粒在水中常带有负电荷,能吸附带正电的胶体,从而在滤料表面形成带正电的薄膜,进而吸附带负电的黏土颗粒和多种颗粒,在砂粒上发生接触絮凝。
在实际的过滤过程中,以上三种机理往往同时发生,只是随工艺条件不同各有主次之分。对于粒径较大的悬浮颗粒以阻力截留作用为主,因该过程主要发生在滤料层的表面,也因此被称之为表面过滤;对于细悬浮固体,则以发生在滤料层深层的重力沉降和接触絮凝作用为主,通常称之为深层过滤。
二、快滤池的构造与工作方式
滤池的形式由多种多样,常见的有:快滤池、接触双层滤池、虹吸滤池、无阀滤池、压力滤池等等。其中快滤池的使用最为悠久,并在此基础上出现了双层滤料、多层滤料滤池;按作用水头分有重力式滤池和压力滤池;为简化反冲洗操作便于管理,又发展除了虹吸滤池、无阀滤池等自动冲洗滤池。本节对最为常用的快滤池进行介绍。
快滤池以石英砂为滤料,池型一般为矩形,由洗砂排水槽、滤料层、承托层、配水系统组成,如图3-20所示。池内填充石英砂滤料,滤料下铺有砾石承托层,最下面是集水系统(反冲洗时为配水系统),滤层膨胀高度之上为洗砂排水槽。

图3-20 快滤池结构示意图
整个过滤工艺分为过滤和反冲洗两个阶段。过滤时,污水由进水管经阀门进入池内,自上而下地通过滤料层和承托层进入集水系统排出,污水在此过程中得到净化,而悬浮固体则被截留在滤料表层和空隙中。
请根据快滤池结构图和过滤工作方式完成下面关于快滤池反冲洗工作方式的填空。
从过滤开始到过滤结束的时间叫做滤池的工作周期,它和滤料组成、进出水水质等因素有关,一般在4~48h范围内。根据水流方向快滤池分为上向流和下向流两种,图3-20为下向流,上向流水流先经过下层细滤层部分再经过上层粗滤层部分,能够充分发挥滤层作用,但污物在下部聚集,反冲不易清除干净。
三、滤料
滤池的滤料种类主要有:石英砂、无烟煤、大理石粒、磁铁矿粒及人造轻质滤料等,滤料是滤池的核心部件,是影响滤池过滤效果的主要因素之一,滤床的深度、种类、颗粒的粒径大小、组成分布等均需要根据水质和处理要求确定。
1.滤料的粒径与组成分布
滤料颗粒的大小用“粒径”表示,粒径是指把滤料颗粒包围在一个假象的球体,球体的直径即为颗粒的粒径。关于粒径的表示有两种方法:1是有效粒径和不均匀系数;2是规定最大和最小粒径。
有效粒径是指对滤料进行筛分时,能够使滤料总量的10%通过筛孔,该筛孔直径即为滤料的有效粒径,记为d10。但是由于实际滤料粒径是不完全一样的,所以还需要用不均匀系数来表示滤料颗粒的粒径分布情况,一般用K60或K80表示:K60=d60/d10,K80=d80/d10。
不均匀度越大,粒径分布越不均匀,滤料颗粒的粗细越明显,在反冲洗阶段的流化状态中逐渐会形成细小颗粒在滤床上部,大颗粒滤料在滤床底部的现象(级配滤料),这对于过滤和反冲洗都是不利的,一般要求级配滤料的不均匀系数在1.6~2.0范围内。
2.滤层深度
采用的滤层深度与滤料粒径有关,颗粒越小,滤层越不易穿透,滤层深度可以较薄;滤料粒径越大,滤层越容易被穿透,需要的滤层深度较深。因此为保证水质,可采用较小的滤料粒径和较薄的滤层厚度,或采用较大的滤料粒径和较深的滤层深度。在这里滤层的穿透是指进水直接落到滤层表面的某一部分上而迅速流过,没有进行充分过滤的现象。
滤料的粒径越小,过滤同样深度的水头损失就相对较大,因此再进行滤料选择时需要再满足出水水质要求的前提下,寻求最佳粒径与深度的组合。
此外滤层深度和滤料的粒径也与滤速有关,相同过滤时间内,采用的滤速高则要求滤层截污容量大,一般采用较粗的滤料和较深的滤层深度以充分发挥滤层的深层截污能力。
3.滤料的种类与滤料层结构
对于单层滤料而言,应尽可能使用均匀度高的滤料,但是完全的“均质滤料”也是不存在的,所以为了充分利用滤料的过滤能力,可以考虑上向流的方式充分利用下粗上细的滤层,也可以通过多层滤料的设置予以解决。
多层滤料目前常用的时双层或三层滤料,以双层滤料为例进行说明。双层滤料上层采用密度较小、粒径较大的轻质滤料(如无烟煤),下层采用密度较大、颗粒较小的重质滤料(如石英砂)。由于二者存在密度差,反冲洗后仍会保证上细下粗的滤层结构。实践证明,双层滤料的截污能力较同等深度单层滤料高1倍以上,同时可以增加滤速,处理能力得到提高,常用滤料规格及对应滤速范围见表3-1。
能够充当滤料的材料不局限于以上提到的几种,只要能够满足:1有足够的机械强度2化学性质稳定3价廉易得4颗粒级配和孔隙率适当等条件即可。
表3-1常用滤料规格及滤速表

注:滤料相对密度一般为石英砂2.65,无烟煤1.4~1.6,重质矿石4.2~4.8。
四、反冲洗
反冲洗是恢复滤层的截污能力、从滤池中去除污物的重要环节,从这个角度来看反冲洗比过滤过程更为重要,很多滤池运行的问题都是反冲洗效果较差造成的。
一般认为吸附在滤料上的污泥分为两种,一种是滤料直接吸附污泥,称为一次污泥,较难脱落;另一种为滤料间隙中沉积的污泥,称为二次污泥,较容易去除。反冲洗时二次污泥可以通过水流剪力作用完成,而一次污泥需要通过颗粒之间的碰撞和摩擦才能去除。为了达成去除一次和二次污泥的目的,需要使滤料膨胀和流化,根据反冲洗所使用的介质和冲洗方式,可以将反冲洗方式分为:单独水反冲洗、气-水反冲洗、表面冲洗。
1.水反冲洗:单独水洗需要较强的冲洗强度,确保滤料的流化状态。冲洗强度时指单位时间内单位滤池面积通过的反洗水量,单位为L/(㎡·s)。单层石英砂反冲洗需要控制反冲洗强度使滤层膨胀率在40%~50%。单独水洗的优点是设备相对简单,但冲洗水消耗大,冲洗能力弱,控制不当易造成砾石承托层走动,导致漏砂。
2.气-水反冲洗:利用空气快速通过滤层使滤料颗粒流化,产生的微小气泡还能强化颗粒间的碰撞和摩擦,反冲洗水主要起漂洗作用,将脱离的污泥带出滤池。这种反冲洗方法效果好、水洗强度小,冲洗过程滤层微膨胀。
3.表面冲洗:表面冲洗一般仅作为辅助,用高速水流对表层进行搅拌、去除上层污泥。
3.2.5微滤
微滤的机理与筛网类似,是在筛网基础上进一步减小了网眼直径,增加了悬浮固体去除粒径范围(0.1μm~0.1mm),一般用于污水中细悬浮物的去除。微滤机是进行微滤的设备,其结构如图3-21所示。其核心是一个绕水平轴线旋转的转鼓,其表面有金属筛网。转鼓在驱动装置带动下以圆周速度30m/min旋转,转鼓2/3浸没于水中。

图3-21 微滤机结构示意图
你能根据微滤机特点和其结构图,完成下边关于其工作方式的表述填空吗?
微滤机的水头损失一般小于0.3~0.46m。反冲洗水量占总滤出水量的46%,水力负荷范围0.1~0.4m³/(㎡·min),微滤机常用于深度处理或物料回收。



