-
1 知识点
-
2 课件
-
3 课堂练习
-
4 课后巩固
一、均和调节概述
污水的水质、水量常常是不稳定的,具有很强的随机性。尤其是当操作不正常或设备产生故障时,污水的水质就会急剧恶化,水量也会发生变化,这就超出了处理构筑物或设备的处理能力,给处理操作带来了很大困难,特别是对生化法处理构筑物的净化功能影响极大,严重时甚至能够造成生化池功能的丧失。
换言之,均和调节的目的就是减少污水特征上的波动,为后续的水处理系统提供一个稳定和优化的操作条件。在调节的过程中通常要进行混合,以保证水质的均匀和稳定。具体来说,通过均和调节作用能够达到以下目的:
a.提供对污水冲击负荷的缓冲能力,防止冲击负荷对处理系统的影响;
b.减少进入处理系统污水流量的波动,使处理污水时所用化学试剂的加料速率稳定;
c.通过混合能够控制污水pH值,稳定水质,并可减少中和环节化学试剂的投加量;
d.防止高浓度的有毒物质进入系统,危害生物处理系统;
e.当因检修或事故暂停进水时,仍能为系统提供持续、稳定的污水,保证系统运行。
均和调节具体可以分为水量调节和水质调节。
1.水量调节
水量的变化会给水处理设施带来不少困难,使其无法处于最优的稳定运行状态,水量的波动越大,过程参数越难控制,处理效果越不稳定,严重时会使处理设备短时无法工作,甚至遭受破坏。因此需要在废水处理系统之前设置水量调节池,以保证为废水处理设备的正常运行提供持续而稳定的水量。
2.水质调节
水量调节一般不考虑污水的混合,故出水虽具有均匀的流量但浓度仍然可能使变化的,不利于后续处理工艺发挥最佳处理效果。因此需要对水质进行调节,对不同时间或不同来源的污水进行混合,使流出的水质在浓度和组分上保持均匀。
3.调节池的位置
均和调节主要通过设在污水处理系统中的调节池来实现,调节池的设置根据其在水处理系统中的位置不同一般有两种形式:a.线内调节:调节池设置在流程线以内;b.线外调节:调节池设置在主流程以外的支线上。
两种设置形式各有优劣,线内调节效果好,但调节池进水受到进水管高程限制,如果进水管埋深较深,则需要将调节池挖的很深,导致施工和排泥困难,适用于进水管埋深较浅的情况。线外调节池不受进水管高度限制,一般为半地下式,因此施工和排泥方便,一般用于城市及工业废水处理的雨水(暴雨)量进行调节。
二、调节池
调节池是实现水量和水质均和调节的构筑物。
1.水量调节池
水量调节池的特点是池中水位随时间而变化,有时也称为“变水位均衡”。因为水量调节主要起水量均化的作用,因此池中一般不设搅拌装置。常用的水量调节池如图2-1所示。进水在重力作用下进入调节池,出水管设在池底部,以保证最大限度地利用有效容积,出水用泵提升至后续构筑物。正常运行时实际水位会在最高设计水位和最低水位(死水位)之间变化。最高设计水位和最低水位之差即为有效水深,一般为2~3m。


图2-1 水量调节池
2.水质调节池
水质调节池也成为均质池,采用水力混合或机械动力混合的方式将不同水质的水相互混合,前者一般称为差流调节,后者一般称为外加动力调节。
(1)差流调节
差流调节是依靠调节池的特殊构造,使不同时刻进入调节池的污水进行混合,取得均质的效果。这种调节主要依靠水质自身水力混合,不需要额外的动力,运行费用少,但构筑物相对复杂。差流方式的调节池类型很多,常用的是对角线调节池和隔板调节池。
a.对角线调节池
水流进入对角线调节池之后再隔板引流作用下由池子的两侧进入,在隔板间经过一段时间的流动和混合,通过穿孔导流槽进入由呈对角线设置的集水槽出水。呈对角线设置的集水槽将不同时间、不同浓度的污水进行混合,达到了均质的目的,如图2-2所示。


图2-2 对角线调节池
横向隔板的设置是为了防止污水在池内短路,即没有经过充分停留、混合就从对角线集水槽出水。同时水中的悬浮物会在池中沉淀,为了防止泥渣堵塞,需要考虑排渣方式,调节池不大时可以在调节池底部设置泥斗(如图2-3所示),定期排泥,如果调节池容积较大,泥斗设置过多管理不便,可借助压缩空气搅拌均质,以防止沉淀。空气用量为1.5~3m³/(㎡·h),调节池的有效水深一般取1.5~2m,纵向隔板间距1~1.5m。


图2-3 对角线调节池Ⅰ-Ⅰ剖面
b.折流调节池
折流调节池在池内设置了很多折流隔墙,污水在池内来回折流,充分在池内得到混合,如图2-4所示。折流调节池配水槽设在调节池上,通过许多孔口流入,投配到调节池的前后各个位置,调节池的起端流量一般控制在1/3~1/4总流量,剩余的流量通过其他投配口等量投入池中。通过沿水流方向分阶段布水,实现了先进入和后进入污水的混合。


图2-4折流调节池
(2)外加动力调节
外加动力水质调节一般采用叶轮搅拌、鼓风空气搅拌、水泵循环等形式对水质进行强制均化,这种调节方法设备简单、运行效果好,但运行费用较高。
3.调节池容积的确定
调节池的容积根据污水浓度、流量变化的规律和要求的均和程度来确定。
(1)水量调节池容积的确定(计算法)
水量调节池容积的确定根据污水流量变化规律确定。主要由计算法和图解法两种,前置适用于污水的产生由明确的周期性且水量波动不太大的情况,下文主要介绍计算法。
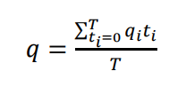
a.平均流量的计算
在一个生产周期T内,根据水量变化情况,可将一个周期分为若干个时段ti,则污水的平均流量q(m³/h)按下式计算,以例题2-1进行说明:
(式2-1)
【例题2-1】某污水厂一个周期内水量变化情况如表2-1所示。求该厂污水平均流量;
表2-1 某污水厂进水水量情况
| 时段 | 0~3时 | 3~6时 | 6~9时 | 9~12时 | 12~15时 | 15~18时 | 18~21时 | 21~24时 |
| 水量m³/h | 90 | 90 | 100 | 120 | 120 | 120 | 100 | 90 |
解1:根据表中数据,一个生产周期为24小时,产废有一定的规律性且水量波动不大。可以按表中每一个时间段作为ti,可得:


答:该污水厂进水平均流量为103.75 m³/h。
b.水量调节池容积的确定
得到平均流量之后,可以将各个时段分为两种,大于平均的时段和小于平均流量的时段。大于平均的小时流量以Qa表示,小于平均的小时流量以Qb表示,则水量调节池的最小有效容积V用式2-2确定。

(式2-2)
如果小时水量波动较大,则需要使用图解法,绘制调节池累计进出水曲线,再根据两条曲线正相差及负相差绝对值之和确定最小有效容积,图解法较为准确。
(2)水质调节池容积的确定
水质调节池的容积的确定首先需要根据进水水量水质规律确定调节时间t,之后计算经该时间处理后污水的平均浓度,该浓度小于处理系统要求的浓度则说明该调节时间是合适的,再计算容积即可。
a.调节时间确定
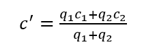
调节时间的确定既要满足系统对水质的要求,也要尽可能满足成本最优原则,减少调节池容积。一般来说先从污水水质和水量变化图表上选择其流量和水质浓度较高的相邻两个小时,按式2-3计算该时段废水的平均浓度c’(mg/L)。
(式2-3)
若该浓度满足后续系统要求,则调节时间为2h。如不能满足应再通过试算的方式计算相邻3h废水均和的平均浓度,直至能够满足后续处理要求。
b.水质调节池容积的确定
水质调节池的容积使用式2-4计算:
V=qt (式2-4)
若为对角线调节池,应按式2-5确定:
V=qt/1.4 (式2-5)
4.水质水量调节池
一般工业废水的处理中既有水量调节要求也有水质调节要求,此时可以将两个流程合并,组成均化池。均化池出水设置在池体中部,这样上部分可以通过水位的变化进行均量,下部分为均质(常水位)。体积上可以取均量和均质体积中大的那一个,节省了用地,但是池深会相对较深。

