数字逻辑

张慧

目录

  • 1 数字逻辑中的数学基础
    • 1.1 几种常用的数制
    • 1.2 不同数制间的转换
    • 1.3 带符号数的表示
    • 1.4 几种常用的编码
    • 1.5 第一讲 单元测试
    • 1.6 话题讨论
  • 2 逻辑代数基础
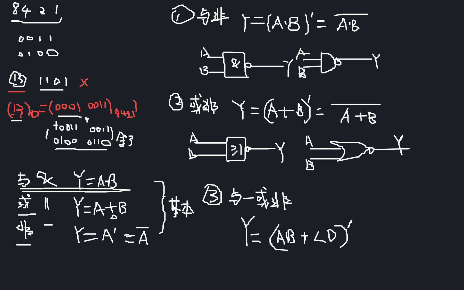
    • 2.1 逻辑代数中的三种基本运算
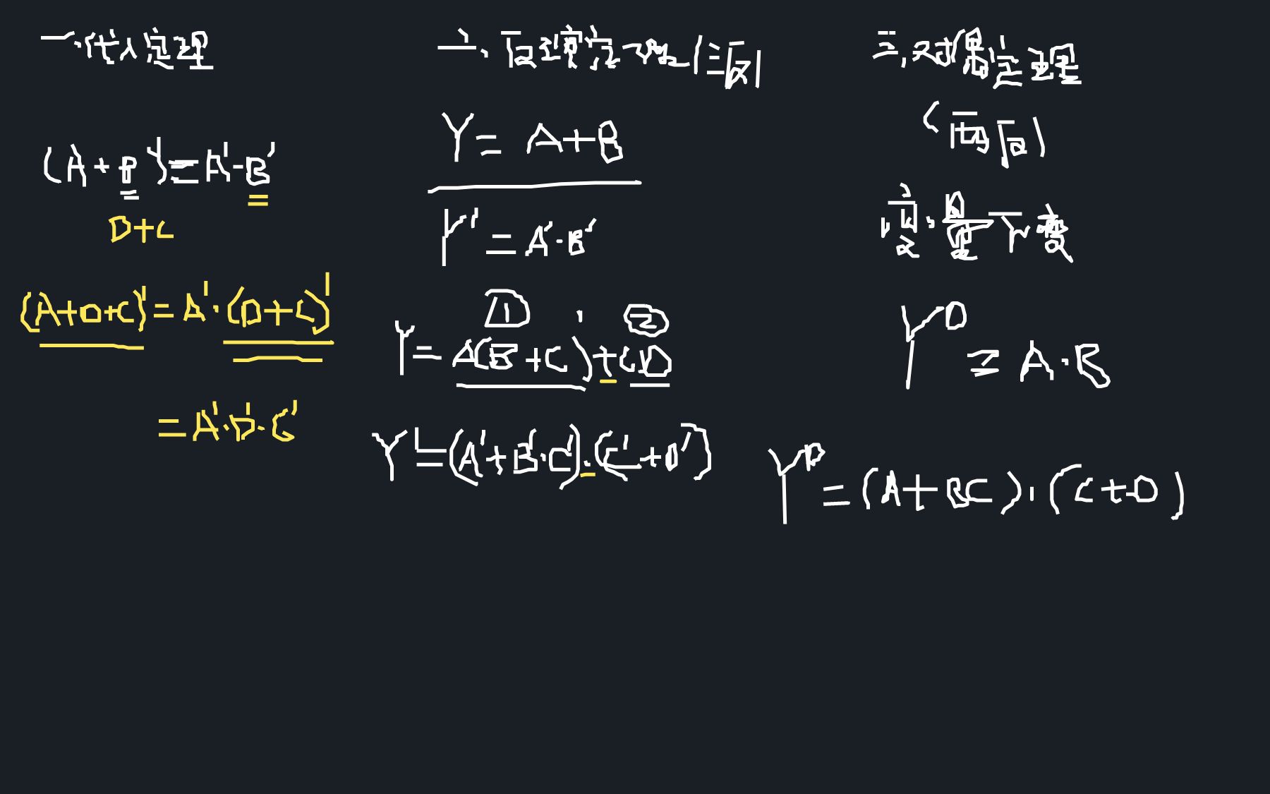
    • 2.2 逻辑代数及其运算规则
    • 2.3 逻辑函数表示方法
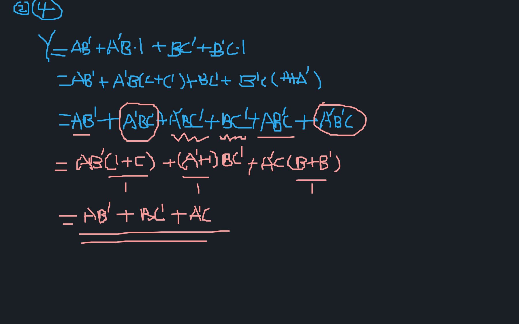
    • 2.4 逻辑函数的化简
      • 2.4.1 公式法化简
      • 2.4.2 卡诺图法化简
      • 2.4.3 具有无关项的逻辑函数的化简
    • 2.5 第二讲 单元测试
    • 2.6 话题讨论
  • 3 门电路
    • 3.1 门电路的概念及二极管开关特性
    • 3.2 半导体二极管门电路
      • 3.2.1 二极管与门
      • 3.2.2 二极管或门
    • 3.3 CMOS门电路
      • 3.3.1 MOS管的开关特性
      • 3.3.2 CMOS集成门电路
    • 3.4 TTL门电路
      • 3.4.1 双极型三极管的开关特性
      • 3.4.2 TTL集成门电路
    • 3.5 第三讲 单元测试
    • 3.6 话题讨论
  • 4 组合逻辑电路
    • 4.1 组合逻辑电路概述
    • 4.2 组合逻辑电路的分析
    • 4.3 组合逻辑电路的设计
    • 4.4 编码器
    • 4.5 译码器
    • 4.6 数据选择器
    • 4.7 加法器
    • 4.8 第四讲 单元测试
    • 4.9 话题讨论
  • 5 触发器
    • 5.1 触发器概述
    • 5.2 SR锁存器
    • 5.3 电平触发器
    • 5.4 脉冲触发器
    • 5.5 边沿触发器
    • 5.6 触发器逻辑功能分类
    • 5.7 第五讲 单元测试
    • 5.8 话题讨论
  • 6 时序逻辑电路
    • 6.1 时序逻辑电路概述
    • 6.2 时序逻辑电路分析方法
      • 6.2.1 同步时序逻辑电路的分析
      • 6.2.2 异步时序逻辑电路的分析
    • 6.3 寄存器
    • 6.4 计数器
    • 6.5 第六讲 单元测试
    • 6.6 话题讨论
  • 7 半导体存储器
    • 7.1 半导体存储器基础
    • 7.2 只读存储器
    • 7.3 随机存储器
    • 7.4 存储器地址译码与扩展
    • 7.5 第七讲 单元测试
    • 7.6 话题讨论
  • 8 实践仿真
    • 8.1 如何上交实验电子作业
      • 8.1.1 学生如何交电子作业
      • 8.1.2 学习委员如何收取并整理电子作业
    • 8.2 Multisim安装引导视频教程
    • 8.3 Multisim仿真实验环境的熟悉
    • 8.4 逻辑门电路功能仿真
      • 8.4.1 逻辑与门仿真
      • 8.4.2 逻辑或门仿真
      • 8.4.3 逻辑非门仿真
    • 8.5 门电路的仿真
      • 8.5.1 二极管开关特性实验仿真
      • 8.5.2 稳压二极管特性实验仿真
      • 8.5.3 二极管与门实验仿真
      • 8.5.4 二极管或门实验仿真
      • 8.5.5 晶体三极管特性实验仿真
      • 8.5.6 晶体三极管非门实验仿真
      • 8.5.7 CMOS反相器传输特性实验仿真
    • 8.6 组合逻辑电路仿真实验
      • 8.6.1 组合逻辑电路的分析实验仿真
      • 8.6.2 三人表决器模拟仿真实验
    • 8.7 编码器、译码器和数据选择器功能测试
      • 8.7.1 8-3线优先编码器74LS148功能测试
      • 8.7.2 3-8线译码器74LS138功能测试
      • 8.7.3 显示译码器仿真实验
      • 8.7.4 数据选择器功能仿真实验
      • 8.7.5 用3-8线译码器实现组合逻辑电路功能
      • 8.7.6 超前进位加法器仿真实验
    • 8.8 触发器功能测试实验仿真
      • 8.8.1 维持阻塞D触发器仿真实验
      • 8.8.2 边沿D触发器仿真实验
      • 8.8.3 维持阻塞JK触发器仿真实验
      • 8.8.4 边沿JK触发器仿真实验
    • 8.9 综合趣味实验
      • 8.9.1 多路抢答器
      • 8.9.2 进位器的爱语
  • 9 课程思政及相关知识拓展
    • 9.1 第一台国产电子计算机
    • 9.2 芯片是如何制作出来的
    • 9.3 双极型晶体管的工作原理
    • 9.4 助力中国芯片制造
    • 9.5 从晶体管到集成电路
    • 9.6 量子计算机离我们还有多远
    • 9.7 量子计算的现在与未来
    • 9.8 致敬榜样系列记录集
      • 9.8.1 中国半导体集成电路奠基人-王守觉
      • 9.8.2 中国半导体事业奠基人-黄昆
      • 9.8.3 中国半导体材料科学的开拓者-林兰英
      • 9.8.4 龙芯之母-黄令仪
      • 9.8.5 中国半导体“破冰者”-谢希德
      • 9.8.6 《华为.海思麒麟》-华裔科学家胡正明
    • 9.9 中国科学院半导体研究所助力半导体事业发展
    • 9.10 了解光刻机和蚀刻机
    • 9.11 名校校长寄语学生
      • 9.11.1 西安交大校长-王树国谈“志气、骨气”、“底气”
      • 9.11.2 西湖大学校长-施一公讲“开学第一课”
    • 9.12 我想对你说:“加油,年轻人!”
      • 9.12.1 新的起点
      • 9.12.2 勇敢
      • 9.12.3 致时代的勇者
  • 10 课程总复习
    • 10.1 第一讲内容
    • 10.2 第二讲内容
    • 10.3 第三讲内容
    • 10.4 第四讲内容
    • 10.5 第五讲内容
    • 10.6 第六讲内容
    • 10.7 第七讲内容
第二讲内容