一、经济增长的含义
经济增长指一国在一定时期内所生产的商品和劳务总量的增长。经济增长的程度可以用增长率来描述。
二、经济增长的衡量
一般采用GDP的增长率来衡量经济增长率。衡量经济增长不仅要看经济活动的总量增加多少,而且要看某一时期平均每人生产的产量增加多少,因此,有时还需要按人口增长的情况校正实际国内生产总值。这样就得到了在很多场合反映经济增长的另一个指标——人均国内生产总值或人均国民收入的增长。
根据上述说明,计算经济增长可以用下面两个公式来表示:

一般更常见的是计算某一时期的增长率。常用以下公式:
(7.1)
这里,第一年与第n年的选取十分重要。其原则是要有可比性。
三、经济增长的源泉
关于经济增长的源泉一直众说纷纭,一直到今天,对经济增长的决定因素是什么,还没找到全部答案,但也有了一些进步。
诺奖得主麻省理工学院的索洛建立了一个解释框架,测定经济增长的主要因素,他从生产函数入手,假设一个经济只使用劳动和资本进行生产,其总量生产函数由下列柯布一道格拉斯生产函数加以表示:
(7.3)
其中,,表示技术水平;
,它们分别表示劳动和资本的产出弹性值。
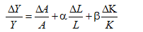
对柯布—道格拉斯生产函数两边取对数,然后再进行微分可以得到:
(7.4)
在(7.4)式的左边,表示总产出的增长率;等式右边,
表示技术水平增长率,
表示劳动投入量的增长率,
表示资本投入量的增长率。
(7.4)式表明,产出增长率可以分解为技术增长率、劳动增长率和资本增长率贡献的和,并且劳动投入增长和资本投入增长对产出增长的贡献率分别是这两种生产要素的产出弹性值和
。

