知识拓展
上一节
下一节
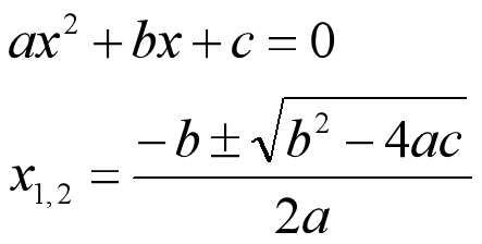
【案例】一元二次方程的解
1、案例描述
输入a,b,c,要求a不为0,求一元二次方程的两个实数根。

#py-root.py
import math
c=input("c=")
a=float(a)
b=float(b)
c=float(c)
if a!=0:
d=b*b-4*a*c
if d>0:
d=math.sqrt(d)
x1=(-b+d)/2/a
x2 = (-b - d) / 2 / a
print("x1=",x1,"x2=",x2)
elif d==0:
print("x1,x2=", -b/2/a)
else:
print("无实数解")
else:
print("不是一元二次方程")

