3.2 分子量常规分析方法
聚合物分子量的常规测试方法主要指采用化学法、热力学方法、粘度法、光散射法等测定其分子量。
化学法基于化学反应实现,常见的测试方法有端基滴定法。热力学法基于聚合物稀溶液的热力学性质与分子量的关联实现测定,常见的测试方法有:冰点降低法、蒸汽压下降法、渗透压法等。粘度法依据不同分子量聚合物的粘度差别(特征粘度)实现。光散射法依据入射光在不同分子量聚合物溶液中的散射程度差异实现。
1)端基滴定法
在端基滴定法中,被测聚合物的末端必须带有能够进行定量化学反应基团。端基滴定法就是通过化学滴定的方法测定这些端基的。每个聚合物链上的端基数目一定,测定一定重量的聚合物的端基数目,即可求出其分子数,从而求出聚合物的相对分子质量。
Mn= W/N (W—试样质量,g; N—物质的量)
2)冰点降低法
冰点降低法是基于聚合物溶液与纯溶剂的冰点不同的原理。溶液的冰点较纯溶剂的冰点要低,冰点的降低值有依数性,即与溶质的分子数(分子量)有关:
![]()
c—溶液浓度;kf —冰点降低常数;△Tf—冰点降低值
3)蒸汽压下降法
根据拉乌尔定律,溶液的蒸汽压要低于溶剂的蒸汽压,因此,溶剂分子分别在溶液和纯溶剂上凝聚时并放出凝聚热不同,溶液液滴与溶剂液滴间就会产生温差,溶液蒸汽压的降低由温差表现出来。溶液蒸汽压的降低,即:溶液液滴与溶剂液滴间的温差,与分子量关系如下:
![]()
c—溶液浓度;A—与溶剂温度有关常数;△T—蒸汽压降低导致温度下降值
4)渗透压法
当用半透膜将高聚物溶液与溶剂隔开时,由于纯溶剂的化学势较溶液中溶剂的化学势要大,因此就会有溶剂从纯溶剂池通过半透膜而进入溶液池,从而产生溶液池与溶剂池的液面之差来达到渗透平衡,该液柱压力差称为渗透压π,渗透压与聚合物数均相对分子质量关系如下:
![]()
c—溶液浓度;π—渗透压;R—普适气体常数;T—温度
5)光散射法
入射光通过聚合物溶液时会产生散射,其散射强度与聚合物的质均分子量M、观察角θ和聚合物溶液溶度c有关:

式中,KC是仪器常数,Rθ是Relay因子,A2为第二维利系数,当测定溶液的浓度c→0时,该项也可忽略。
由于θ=90°时散射光受杂散光影响最小,可采用R90光散射测定粒子分子量,如下方程式:

当采用小角激光散射仪测定,改变激光入射角à0、聚合物溶液浓度à0,上式可简化为上右式。所以:

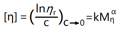
6)粘度法
不同分子量聚合物的粘度(特征粘度)有所差别,用粘度检测器测定聚合物稀溶液的特性粘度[η],依照Mark-Houwink方程,即可换算得到聚合物的粘均分子量M:

[η]—聚合物特性粘度;k、a—与聚合物溶液相关的常数
对于上述方法的适用性和测定分子量类型总结如下:


