平衡常数
上一节
下一节
经验平衡常数
对于任一可逆反应
对于任一可逆反应 a A+ b B ⇌ g G+ h H
平衡时经验平衡常数为:

不同的反应方程式 K 的单位不同。
对于气相反应,aA (g) + bB(g) ⇌ gG (g) + hH(g)

Kc和 Kp叫做浓度和分压平衡常数。二者之间关系如下:

反应前后气体分子数的变化 Δng= ( g+ h ) — ( a +b )
平衡常数与平衡转化率
平衡转化率是指已转化的反应物占起始总量的百分比。
标准平衡常数KӨ
对于溶液中的反应 a A+ b B ⇌ g G+ h H

对于气体反应:a A(g) + b B(g) ⇌ g G(g) + h H(g)
KӨ叫做反应的标准平衡常数 。
标准平衡常数K Ө的有关说明:
(1)标准态“Ө”定义:
cӨ称为标准浓度,定义 cӨ= 1mol·L-1
pӨ称为标准压力,定义 pӨ= 100kPa
(2) KӨ是量纲为1的常数
(3)纯液体和纯固体的摩尔分数
(4)KӨ与初始浓度无关,只与反应本身和温度有关
(5)KӨ与反应方程式写法有关
偶联反应的平衡常数
若: 反应1 = 反应2 + 反应3
判断化学反应的方向
对于可逆反应 a A+ b B ⇌ g G+ h H,自发进行的方向除了用ΔrGm来判断外,亦可用某一时刻的反应商Q Ө与标准平衡常数K Ө进行判断,即

化学反应等温式



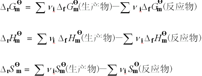
几种热力学数据之间的关系
对于同一个反应,它们之间的关系:

对于同一个反应,它们之间的关系:



