有关磁路计算的一些概念
上一节
下一节
1、磁路的长度
在磁路计算中,磁路的长度一般都取其平均长度,即中心线长度。如图8-11所示:

2、铁磁物质截面积
磁路中铁磁物质部分的截面积用磁路的几何尺寸直接计算。
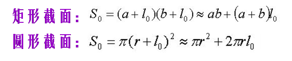
磁路中有空气隙时,气隙边缘的磁感应线将有向外扩张的趋势,称为边缘效应,如图8-12所示。
空气隙截面积S0
工程上一般认为,当气隙较小时候,可用下面两式计算气隙的有效面积:


若铁心是涂有绝缘漆的电工硅钢片叠成的,则:S=K*S0其中:
S—有效面积;
S0—视在面积;
K—填充系数。

