磁路定律
上一节
下一节
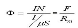
1、磁路的欧姆定律
磁通势:F=IN
磁阻:
![]()
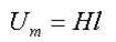
磁压降:
![]()
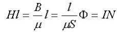
对于如图8-8的环形磁路,由全电流定律均可得到:

对于如图8-8的环形磁路,由全电流定律均可得到:HI=IN
因为:
![]()
则:

得:

由磁通势在磁路中产生的磁通量,其大小和磁通势成正比,和磁路的磁阻成反比,这就是磁路的欧姆定律。
2、磁路的基尔霍夫第一定律
磁路的基尔霍夫定律是由描述磁场性质的磁通连续性原理和安培环路定律推导而得到的。
磁路的基尔霍夫第一定律的内容是在磁路的分支节点所连各支路磁通的代数和等于零。
表示为:
![]()
若把穿入闭合面的磁通取正号,出的取负号,则图8-9有
![]()
3、磁路的基尔霍夫第二定律
任一闭合磁路中各段磁压代数和等于各磁通势的代数和,即磁路基尔霍夫第二定律。
![]()
应用该定律,要选一绕行方向,磁通的参考方向与绕行方向一致,则该段磁压降取为正号,反之取负号;线圈中电流方向与绕行方向符合右手螺旋法则时,其磁通势取正号,反之取负号。
图8-10所示磁路由3段组成,长度分别为 l1、l2 、l3 ,这三段的磁场强度分别H1、H2 、H3,根据环路定律可得 :
![]()

