安培环路定律
上一节
下一节
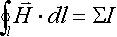
磁场强度矢量 沿任意闭合路径的线积分等于穿过此路径所围成的面的全部电流代数和。
![]()
式中的
是磁场强度矢量
沿任意闭合回路l(常取磁通作为闭合回路)的线积分,
∑I是穿过该闭合回线l所围面积的电流的代数和,且该式与磁场中介质的分布无关。其中电流的正、负要看它的方向和所选路径的方向之间是否符合右手螺旋法则而定。当电流的参考方向与闭合回线的绕行方向符合右手螺旋法则时,该电流前取正号,反之取负号。
例如图8-1中的电流I1和I3为正,而I2为负,运用安培定律可写成:


