一阶电路的三要素法
上一节
下一节
只要求出电路的稳态响应
、初始值
和时间常数τ,则可写出电路全响应y(t)的函数表达式,这种方法称为三要素法。
1.直流电源作用下的三要素法
![]()
例题7-3
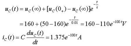
如图7-13(a)所示电路, 已知R1=100Ω, R1=400Ω, C=125μF, Us=200V, 在换路前电容有电压uc(0-)=50V。求S闭合后电容电压和电流的变化规律。
解:用三要素法求解




代入三要素公式,得

2.正弦激励下的三要素法
正弦激励下的一阶电路,稳态响应也是正弦量。可以用相量法求得。时间常数是电路本身的参数,与激励无关。计算方法与上面相同。
例题7-4
如图7-14所示电路, 已知R=30Ω,L=0.4H。开关S闭合前,电感无储能,即iL(0+)=0,在t=0 时S闭合,接通正弦电压
V。求t≥0时电路的全响应。
解:
用三要素法求解:

于是稳态分量相量为

再求稳态分量的初始值,得
![]()
而时间常数

代入三要素公式,得


