全响应的两种分解
上一节
下一节
1、全响应等于零输入响应和零状态响应的叠加

2、全响应等于稳态响应和暂态响应的叠加

需要说明的是, f(∞)是直流激励下电路的最终稳定值。如果外施激励是正弦量,则其最终稳定响应也是同频率正弦量,可以用相量法计算,我们可以得到更普遍的公式表示电路的全响应:

目录
1、全响应等于零输入响应和零状态响应的叠加

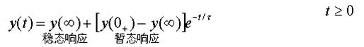
2、全响应等于稳态响应和暂态响应的叠加

需要说明的是, f(∞)是直流激励下电路的最终稳定值。如果外施激励是正弦量,则其最终稳定响应也是同频率正弦量,可以用相量法计算,我们可以得到更普遍的公式表示电路的全响应:
