经典法求全响应
上一节
下一节
用经典法求解电路的全响应即直接在时域分析电流、电压等响应随时间的的变化,方法上是直接求描写电路的一阶线性非齐次方程。(Us2>Us1)
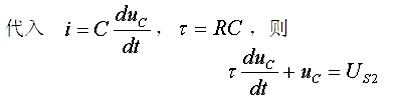
图7-11所示的RC电路(Us2>Us1),t<0时,开关在1位,电路稳定。 t=0时刻,开关由1位打向2位。根据换路定律,uc(0+)=Us1 =U0。从 t=0+开始,电路的方程为
![]()

上方程同样是一个一阶非齐次线性微分方程,当t>0+时,应用前面多次使用的分离变量法,解方程得
![]()
代入初始条件: t=0+时,uc(0+)=Us1=U0 ,得A=Us1-Us2,则
![]()

