电路基础

许振周

目录

  • 1 第一单元
    • 1.1 万用表的使用
  • 2 安全用电
  • 3 二极管及发光二极管实验
  • 4 第二单元
    • 4.1 项目一
    • 4.2 色环电阻的识别
    • 4.3 电阻的串并联研
    • 4.4 电路的基本概念
    • 4.5 电路的作用与组成
    • 4.6 理想电路元件与电路模型
    • 4.7 电路的基本物理量
    • 4.8 电流及其参考方向
    • 4.9 电压、电位与电动势及其参考方向
    • 4.10 电功率和电能
    • 4.11 基尔霍夫定律
    • 4.12 电路结构的有关术语
    • 4.13 基尔霍夫电流定律
    • 4.14 基尔霍夫电压定律
  • 5 电路元件和电路的等效变换
    • 5.1 电阻元件及其串、并联的等效变换
    • 5.2 电阻星形连接和三角形连接的等效变换
    • 5.3 电容元件和电感元件
    • 5.4 有源元件及实际电源的等效变换
    • 5.5 电阻元件
    • 5.6 电阻的串联和并联
    • 5.7 电阻的混联
    • 5.8 电阻的星形连接和三角形连接
    • 5.9 电阻星形连接和三角形连接的等效变换
    • 5.10 电容元件
    • 5.11 电感元件
    • 5.12 电容元件与电感元件的连接
    • 5.13 电压源
    • 5.14 电流源
    • 5.15 受控源
    • 5.16 实际电源的等效变换
  • 6 电阻电路的一般分析与电路定理
    • 6.1 支路电流法
    • 6.2 网孔电流法
    • 6.3 节点电位法
    • 6.4 叠加定理
    • 6.5 替代定理
    • 6.6 等效电源定理
    • 6.7 最大功率传输定理
    • 6.8 含受控源电路的分析
    • 6.9 支路电流法
    • 6.10 支路电流法的应用
    • 6.11 网孔电流法
    • 6.12 网孔电流法的应用
    • 6.13 节点电位法
    • 6.14 节点电位法的应用
    • 6.15 弥尔曼定理
    • 6.16 叠加定理
    • 6.17 叠加定理的应用
    • 6.18 替代定理
    • 6.19 替代定理的应用
    • 6.20 戴维南定理
    • 6.21 诺顿定理
    • 6.22 负载获得最大功率的条件
    • 6.23 最大功率传输定理的应用
    • 6.24 含受控源电路的特点分析
    • 6.25 受控源电路实例
  • 7 单相正弦交流电路
    • 7.1 正弦交流电路的基本概念
    • 7.2 正弦量的相量表示法
    • 7.3 电路元件的电压电流关系
    • 7.4 电阻、电感、电容串联电路
    • 7.5 电阻、电感、电容并联电路
    • 7.6 无源二端网络的等效复阻抗和复导纳
    • 7.7 正弦交流电路的功率
    • 7.8 功率因数的提高
    • 7.9 相量法分析正弦交流电路
    • 7.10 电路的谐振
    • 7.11 互感电路
    • 7.12 正弦量及其三要素
    • 7.13 正弦量的有效值
    • 7.14 相位差
    • 7.15 复数及其表示形式
    • 7.16 正弦量的相量表示
    • 7.17 用相量法求正弦量的和与差
    • 7.18 基尔霍夫定律的相量形式
    • 7.19 正弦交流电路中的电阻元件
    • 7.20 正弦交流电路中的电感元件
    • 7.21 正弦交流电路中的电容元件
    • 7.22 电压与电流的关系
    • 7.23 复阻抗
    • 7.24 电压与电流关系
    • 7.25 复导纳
    • 7.26 电路的三种情况
    • 7.27 无源二端网络的等效复阻抗和复导纳
    • 7.28 复阻抗和复导纳的等效变换
    • 7.29 复阻抗和复导纳的串并联电路
    • 7.30 正弦交流电路的瞬时功率
    • 7.31 有功功率
    • 7.32 无功功率
    • 7.33 视在功率
    • 7.34 复功率
    • 7.35 提高功率因数的经济意义
    • 7.36 提高功率因数的方法
    • 7.37 相量法
    • 7.38 谐振
    • 7.39 串联谐振
    • 7.40 并联谐振
    • 7.41 互感的基本概念
    • 7.42 具有互感的电路
  • 8 三相正弦交流电路
    • 8.1 三相电源
    • 8.2 三相负载的连接及其电压电流关系
    • 8.3 对称三相电路的计算
    • 8.4 不对称三相电路的分析
    • 8.5 三相电路的功率
    • 8.6 三相对称电源
    • 8.7 三相电源的连接
    • 8.8 三相负载的星形连接
    • 8.9 三相负载的三角形连接
    • 8.10 三相电路的功率
    • 8.11 三相电路总瞬时功率的特点
    • 8.12 三相电路功率的测量
  • 9 非正弦周期电流电路
    • 9.1 非正弦周期量
    • 9.2 非正弦周期量的谐波分析
    • 9.3 非正弦周期量的有效值、平均值和平均功率
    • 9.4 非正弦周期电流电路的计算
    • 9.5 非正弦周期量概述
    • 9.6 非正弦周期量的产生
    • 9.7 非正弦周期量的合成
    • 9.8 非正弦周期量的分解
    • 9.9 周期信号的频谱
    • 9.10 非正弦周期量的对称性
    • 9.11 有效值
    • 9.12 平均值、整流平均值
    • 9.13 平均功率
  • 10 线性电路的过渡过程
    • 10.1 电路的过渡过程与换路定律
    • 10.2 一阶电路的零输入响应
    • 10.3 一阶电路的零状态响应
    • 10.4 一阶电路的全响应
    • 10.5 RLC串联电路的零输入响应
    • 10.6 电路的过渡过程
    • 10.7 换路定律
    • 10.8 初始条件的计算
    • 10.9 RC电路的零输入响应
    • 10.10 RL电路的零输入响应
    • 10.11 RC电路的零状态响应
    • 10.12 RL电路的零状态响应
    • 10.13 经典法求全响应
    • 10.14 全响应的两种分解
    • 10.15 一阶电路的三要素法
    • 10.16 方程和特征根
    • 10.17 RLC串联电路的零输入响应
  • 11 磁路和铁芯线圈
    • 11.1 磁场的基本物理量和基本定律
    • 11.2 铁磁物质的磁化
    • 11.3 磁路的基本定律
    • 11.4 恒定磁通磁路的计算
    • 11.5 交流铁芯线圈中的波形畸变与磁损耗
    • 11.6 电磁铁
    • 11.7 磁感应强度
    • 11.8 磁通
    • 11.9 磁场强度和磁导率
    • 11.10 磁通连续性原理
    • 11.11 安培环路定律
    • 11.12 铁磁物质的磁化
    • 11.13 铁磁物质的磁滞回线
    • 11.14 基本磁化曲线
    • 11.15 磁路
    • 11.16 磁路定律
    • 11.17 磁路和电路的比较
    • 11.18 有关磁路计算的一些概念
    • 11.19 无分支磁路的计算
    • 11.20 对称分支磁路的计算
    • 11.21 线圈感应电动势与磁通的关系
    • 11.22 正弦电压作用下磁化电流的波形
    • 11.23 正弦电流作用下的磁通波形
    • 11.24 交流铁芯线圈的损耗
    • 11.25 直流电磁铁
    • 11.26 交流电磁铁
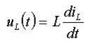
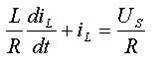
RL电路的零状态响应

因为

代入上式,得