RL电路的零输入响应
上一节
下一节

图7-5所示RL电路,t<0时,开关在1位,电路稳定,电感电流为
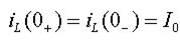
t=0时,开关由1位打向2位。根据换路定律,
,从 t=0+开始,电感L通过电阻R释放磁场能量。根据KVL,在t>0时,有
![]()
因为
,故
对式(7-9)分离变量后,方程为

两边同时积分,得

对上式取反对数,得
![]()
代入初始条件 iL(0+)=I0,得 A=I0,则

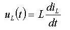
电感电压的变化规律为

![]()

温馨提示:


