RC电路的零输入响应
上一节
下一节
由动态元件的储能所产生的电压、电流称为动态电路的零输入响应。
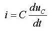
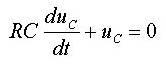
图7-3所示RC电路,t<0时,开关在1位,电路稳定,电容电压为uc(0-)=Us;t=0时,开关由1位打向2位。根据换路定律,uc(0+)=uc(0-)=Us,从t=0+开始,电容C通过电阻R放电,产生放电电流ic(t)。根据KVL,在t>0时,有
![]()
因为

故得

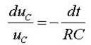
这是一个一阶齐次线性微分方程,其初始条件为
![]()
应用分离变量法解方程式(7-3),分离变量后方程为

两边同时积分,得

式中
为积分常数,对上式取反对数,得
![]()
式中
代入初始条件 uc(0+)=Us,得 A=uc(0+)=Us,则
![]()
电路中的电流为

电压 、电流随时间变化的曲线如图7-4(a)所示

ic为负,说明真实方向与参考方向相反,这也符合电容放电,电压减小的实际情况。
时间常数:
当
,电容存储的能量全部被电阻消耗。由图7-4及式(7-5)、(7-6)知,电容电压 uc和电流ic 是时间 t的指数函数,其变化快慢与RC 有关。
我们令τ=RC,τ具有时间的量纲,其单位是秒(s),称为时间常数。
τ=RC的大小决定过渡过程的进展速度,τ越大,过渡过程越慢。下表给出了电压与时间和时间常数之间的一些特殊数值。
工程实际中认为经过3~5倍的时间常数后,电容放电结束。

