换路定律
上一节
下一节
1.换路:把电路状态的改变(如通电、断电、短路、电信号突变、电路参数的变化等), 统称为换路。
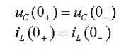
设在t0时刻,电路发生换路。记换路前一瞬间为t0-,换路后一瞬间记为t0+,通常取换路时刻t0=0,相应地也就有“ 0-”、“ 0+之分。
2.换路定律
在换路瞬间,电容元件的电压和电感元件电流不能跃变,只能连续地变化。这一结论称为换路定律。
数学表达式为


