基尔霍夫电压定律,缩写为KVL ;用来确定回路中各电压之间关系的;是电压与路径无关性质的体现。
基尔霍夫电压定律的内容是:在集总电路中,任何时刻,沿电路的任一回路绕行一周,回路中各支路电压的代数和为零。
![]()
基尔霍夫电压定律也称回路电压定律;KVL决定了并联的各个支路的电压相等。
举例:
图1-14所示电路中的一个回路 ,各支路的电压参考方向如图所示,各电压分别为 u1、u2 、u3 、u4 ,
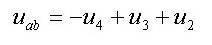
从节点 a出发经过路径 ab到达另外一个节点 b,电压为:
![]()

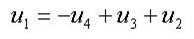
从节点a出发经过路径adcb到达节点b,电压为:
![]()
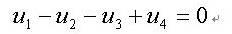
则:
![]()
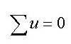
由上式可得:
![]()
项前符号的规定:所选参考方向与“绕行方向”一致的电压取正号,对参考方向与绕行方向相反的电压取负号。
也可以推广应用于假想回路,如图1-15所示电路中,可以假想有回路 ,其中ab 段未画出支路。对于这个假想回路,如从 a出发,顺时针方向绕行一周,按图中规定的参考方向,有

温馨提示:
基尔霍夫电流定律,约束了电路中与任一节点相连的各支路电流的关系;基尔霍夫电压定律约束了任一回路中各支路电压的关系.基尔霍夫定律适用于集总电路。
例题1-4:
试计算图1-16所示电路中各元件的功率,已知数据标在图中。
解:为计算功率,先计算电流、电压。

元件1 的电压电流的实际方向相反,则元件1发出100W 的功率;
元件2 的电压电流的实际方向相同,则元件2吸收20W的功率;
同理
元件3 吸收25W的功率;
元件4 吸收15W的功率;
元件5 吸收40W的功率;
用功率平衡进行验证,实际发出功率为:100W
实际吸收功率为:20+25+15+40=100W
结论:电路的功率平衡。
重点串联
1.电路理论研究的对象是实际电路的电路模型,电路模型是由理想电路元件构成的。理想电路元件是从实际电路器件中抽象出来的理想化的模型,可用数学公式精确地定义。
2.电荷的定向运动形成电流,我们规定电流的方向是正电荷定向运动的方向,电流的单位是安培,电流大小用电流恒量。
3.电压表明单位正电荷在电场力作用下移动时减少的能量。电压的方向是电位降落的方向,电压的单位伏。
4.电压、电流的参考方向是决定电压、电流数值为正的标准。
5.功率,单位瓦特,当电压、电流的实际方向一致时二端网络接受功率,反之发出功率。
6.基尔霍夫电流定律(KCL):在集总电路中,任何时刻,连接在任一节点的各支路的电流的代数和为零。
7.基尔霍夫电压定律(KVL):在集总电路中,任何时刻,沿电路的任一回路绕行一周,回路中各支路电压的代数和为零。

