第一节 转速和线速度
上一节
下一节
1、刚体定轴转动
刚体在运动时,如其中有两点保持不 动,则这种运动称为刚体绕定轴的转动, 简称刚体的转动。通过这两个固定点的 一条不动的直线,称为刚体的转轴或轴 线,简称轴。在工程中,如齿轮、飞轮、 带轮和电机转子等都是定轴转动。
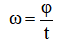
2、角速度是表示刚体转动快慢和转动方向的物理量。 设有一动点绕O点作圆周运动,经过t秒后,动点从A点转到A'点(如下图所示),即绕中心转过φ角度。
角速度就是在单位时间内动点转过的角度,以ω表示, 即

工程上常用转速来表示物体转动的快慢。角速度ω与转速n之间的为关系

3、作定轴转动的刚体,其上所有各点角速度相同,但任意点的运动快慢却不一致。因此用线速度来表示转动物体上任意一点运动快慢的程度 (如下图所示)。

4、线速度等于角速度与该点转动半径的乘积, 其方向与转动半径垂直,与转动物体的转向一致, 即


