正态总体分布
上一节
下一节

由中心极限定理可知,许多随机变量的概率分布都是服从或近似服从正态分布的,因此正态分布在概率统计中显然有着极为重要的地位。以下给出一些关于正态分布的结论和定理:
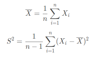
设X1,X2,...,Xn为来自总体为X 的容量为n的一个样本,样本均值与样本方差分别为

则有:




