二维离散型随机变量函数的分布——学府路红绿灯
上一节
下一节

学习目标:
1、理解随机变量函数的定义以及性质
2、会计算二维离散型随机变量函数的分布
重点:二维离散型随机变量函数的分布律
难点:二维离散型随机变量函数分布的思想

在实际应用中,有些随机变量往往是两个或两个以上随机变量的函数. 例如,考虑全国年龄在40岁以上的人群,用X和Y分别表示一个人的年龄和体重,Z表示这个人的血压,并且已知X与Y,Z的函数关系式Z=g(X,Y),现希望通过X,Y的分布来确定Z的分布. 此类问题就是我们将要讨论的两个随机向量函数的分布问题.
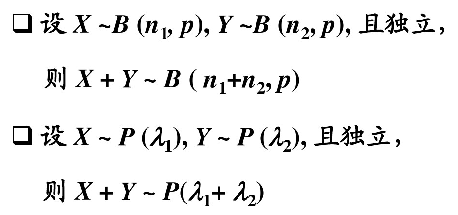
二维离散型随机变量的函数分布的求法
设X,Y均为离散型随机变量,
也为离散随机变量,若(X,Y)联合分布为
,则Z的分布律为
,如果对不同的
中有相同的
,则合并为一项
,并将相应的概率
相加作为z取值为
的概率。



