按行或列展开
上一节
下一节
课前学习任务
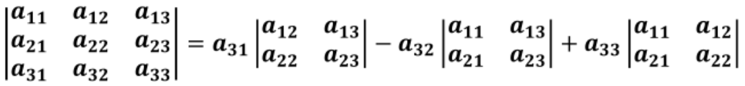
在本章的第一节,我们就探索了三元线性方程组的求解公式:

我们把 的分母定义成了系数矩阵的行列式. 但它又是由二阶行列式组合出来的,且有着明显规律:

我们不妨把上式形象地看作“三阶行列式按第三行展开成关于二阶余子式的和”.
接下来请认真观看视频,学习行列式按行(列)展开的有关概念和记号.
课堂学习资料
阅读:行列式展开定理的整体证明、Vandermonde 行列式、应用技巧
课后学习任务
请认真阅读资料,了解行列式的 Laplace 展开定理.

