换元和初等列变换
-
1 课前学习
-
2 课堂学习
-
3 课后学习
上一节
下一节
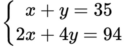
《孙子算经》是我国古代的一部数学入门教材,其作者和成书年代都无定论. 书中有道题可谓“脍炙人口”,即“鸡兔同笼”问题:
今有雉(鸡)兔同笼,上有三十五头,下有九十四足。问雉、兔各几何?
对于学过代数的人来说,解此题自然是小菜一碟. 设鸡有 x 只,兔有 y 只,则相当于解线性方程组 I:

但《孙子算经》却用更简捷的算术方法来解:脚数的一半减头数,即 94/2-35=12 为兔数;头数减兔数即 35-12=23 为鸡数.
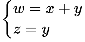
这是怎么想到的?可以这样解释:假设砍去每只鸡、兔一半的脚,则鸡成了“独脚鸡”,兔成了“双脚兔”;于是“独脚鸡”和“双脚兔”的总脚数就由 94 变成了 47;而每只“独脚鸡”的头数与脚数是相同的,每只“双脚兔”的头数比脚数少 1;故“独脚鸡”和“双脚兔”的总脚数与总头数之差,就是兔子数.
细细体会这个思路,你会发现它把注意力放在了头和脚的关系上. 设有 z 只兔子,砍掉一半兔脚,即 2z 只脚,则鸡和“兔”统一为“一头双脚”动物,不妨设其总头数为 w. 于是有线性方程组 II:

这个问题对我们有没有一点启示?面对现实中的问题,我们事实上可以从不同的角度出发,建立起不同的数学模型. 而不同的模型,其求解复杂度可能是不一样的. 比如同样的“鸡兔同笼”问题,我们从两种思路出发,得到了两个线性方程组. 但是这两个方程组都反映同一个原始问题,所以它们必定有密切联系,可以相互转化.
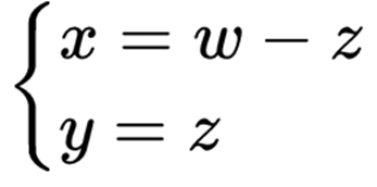
不难看到,线性方程组 I 可由线性方程组 II 经过“换元”得到,反之亦然:
![]()

