-
1 课前学习任务
-
2 学习资料
著名的斐波那契数列(Fibonacci Sequence)是指满足递推关系
的一种神奇数列. 自然界许多事物的数量分布规律都遵循它. 而且非常出人意料,该数列的通项公式竟然离不开“黄金分割”这一无理数,需知斐波那契数列的每一项可都是整数!那该怎样推出斐波那契数列的通项公式呢?
【中学技巧】 作“变量替换” ,其中
是待定参数,从而
于是 . 为便于求解,当然是令
,即
. 不妨取
,并令
,则
. 从而
为方便计,令 ,则
不断迭代下去,可得
特别是当初始值 时,我们有通项
. 它产生的数列前几项为 0, 1, 1, 2, 3, 5, 8, 13, 21.
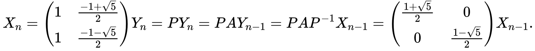
【矩阵方法】 我们知道矩阵乘法可以表达“线性替换”,因此以上技巧启发我们,或许可用矩阵的语言来表达,以致于能利用矩阵理论解决问题. 现在反观“变量替换” 及递推关系
,它们都是关于数列相邻两项的线性表达式,故应将相邻两项视为整体,组成一个列向量
. 这样递推关系和“变量替换”就都变成了很紧凑的矩阵形式
![]()
注意前面“变量替换”中的 有两种取值,说明我们还可以作
. 即令
,则

这样 的通项就很容易求出了,从而也就求出了
的通项,稍加总结如下.
如果一个数列的递推关系能够写成矩阵形式 ,则求数列的通项等价于计算矩阵的幂
,这是因为
.
所以如果 A 是适当的上(下)三角矩阵,我们已经会利用交换矩阵的二项式定理直接计算它的幂;否则得想办法找个可逆矩阵 P 使得 为上三角阵,从而
可被直接算出,于是也能得到 . 至于这样的 P 怎么找,目前的办法是待定元素通过解方程得出,等到下学期会学到更好的办法.

