一、工程项目进度计划的检查与调整方法
进度控制的核心问题就是能根据项目的实际进展情况,不断地进行进度计划的更新与调整,从而保证整个项目进度的顺利完成。在计划执行过程中采取相应措施来进行管理,对保证计划目标实现具有重要意义。
(一)进度计划检查的主要工作
在项目的实施过程中,为了控制进度,进度控制人员应经常地、定期地跟踪检查实际进度情况,主要是收集项目的进度信息,在一个确定的检查期末进行统计以确定项目当期实际进度状况,将实际进度与计划进行对比分析。其主要工作包括:
1.跟踪检查工程实际进度
跟踪检查工程实际进度是项目进度控制的关键措施,其目的是收集实际施工进度的有关数据。跟踪检查的时间和收集数据的质量,直接影响控制工作的质量和效果。一般检查的时间间隔与工程项目的类型、规模、施工条件和对进度执行要求程度有关。通常可以确定每月、半月、旬或周进行一次。若施工中遇到天气恶劣、资源供应不及时等不利因素的严重影响,检查的时间间隔可临时缩短,次数应增加,甚至可以每日进行检查,或派人员驻现场督阵。检查和收集资料的方式一般采用进度报表方式或定期召开进度工作汇报会。
2.整理、统计跟踪检查的数据
收集到的工程项目实际进度数据,要进行必要的整理,按计划控制的工作项目进行统计,形成与计划进度具有可比性的数据和形象进度。一般可以按实物工程量、工作量和劳动消耗量及累计百分比整理和统计实际检查的数据,以便与相应的计划完成量相对比。
3.对比实际进度与计划进度
将收集的资料整理和统计成具有与计划进度可比性的数据后,用工程项目实际进度与计划进度的比较方法进行比较。通常用的比较方法有横道图比较法、S形曲线比较法、“香蕉”形曲线比较法、前锋线比较法等。通过比较得出实际进度与计划进度一致、超前、拖后三种情况。
4.工程项目进度检查结果的处理
按照检查报告制度的规定,将工程项目进度检查的结果形成进度控制报告并向有关主管人员和部门汇报。
进度控制报告是把检查比较的结果、有关施工进度现状和发展趋势提供给项目经理及各级业务职能负责人的最简单的书面形式报告。进度控制报告是根据报告的对象不同,确定不同的编制范围和内容而分别编写的。
(二)进度计划的检查及比较方法
将项目的实际进度与计划进度进行比较分析,以评判其对项目工期的影响,确定实际进度与计划不相符合的原因,进而找出对策,这是进度控制的重要环节。常用比较分析的方法有横道图比较法、前锋线比较法、S型曲线比较法、香蕉型曲线比较法、单代号网络计划检查法等5种。
1.横道图比较法
横道图比较法是把在项目施工中检查实际进度收集的信息经整理后直接用横道线并列标于原计划的横道图上,进行直观比较的方法。为了比较方便,一般采用实际完成量的累计百分比与计划的应完成量的累计百分比进行比较。例如将某基础工程的施工实际进度与计划进度进行比较,如图4.27所示。图中实线表示计划进度,粗线则表示工程施工的实际进度。
图1 某基础工程实际进度与计划进度比较图
从图1中看出:在第9周末进行施工进度检查时,挖土方和做垫层已经完成,而支模板只完成了按计划到第8周末所应该完成的进度。说明到检查日期按持续时间比来衡量,计划要求此工作完成100%,而实际只完成了75%,因而这项工作实际进度比计划进度滞后了25%。
2.前锋线比较法
(1)含义
施工项目的进度计划用时标网络计划表达时,还可以采用实际进度前锋线法进行实际进度与计划进度比较。
所谓前锋线,是指在原时标网络计划上,从检查时刻的时标点出发,用点划线依次连接各项工作的实际进展位置点连接而成的折线。前锋线比较法根据实际进度前锋线与原进度计划中各工作箭线交点的位置来判定施工实际进度与计划进度偏差,进而分析原因,制定对策。

图2 某项目前锋线比较法示意图
如图2所示,第10周末检查时,A、B、C三项工作已经完成,D工作尚需6周完成,E工作尚需2周完成,F工作尚需3周完成。
(2)比较方法
用前锋线比较法进行实际进度与计划进度比较的步骤如下:
1)绘制时标网络图。
2)绘制实际进度前锋线。一般从时标网络计划上方时间坐标的检查日期开始绘制,依次连接相邻工作的实际进展位置点,最后与时标网络计划下方坐标的检查日期相连接。
需加以说明的是,工作实际进展位置点的标注有两种方法:一种是按照该工作已完任务量比例标定,另一种是按工作尚需的作业天数来进行标定。如图4.28所示,检查时间为第10周末,D工作已进行2周,E工作已进行3周,F工作已进行1周。从时标网络计划上方的检查日期第10周末开始,依次连接D、E、F的实际进展位置点,最后再与时标网络计划下方的检查日期第10周末相连接,就形成了实际进度前锋线。
3)进行实际进度与计划进度的比较
对某项工作来说,实际进度与计划进度之间的关系可能有如下三种情况:
①工作实际进展点在检查日期左侧,表明该工作实际进度比计划进度滞后,滞后时间为二者之差。如图4.28所示,D、E、F三项工作的实际进展点均在检查日期的左侧,表明这三项工作实际进度比计划进度滞后。
②工作实际进展点在检查日期右侧,表明该工作实际进度比计划进度超前,超前时间为二者之差。
③工作实际进展点与检查日期重合,表明该工作实际进度与计划进度一致。
④预测进度偏差对后续工作及总工期的影响
通过实际进度与计划进度的比较确定进度偏差后,还可根据工作的自由时差和总时差预测该进度偏差对后续工作及项目总工期的影响。
(三)S型曲线比较法
从整个工程项目实际进展全过程看,单位时间投入的资源量一般是开始和结束时较少,中间阶段较多。与其相对应,单位时间完成的任务量也呈同样的变化规律,如图3(a)。而随工程进展累计完成的任务量则应呈S形变化,如图3(b)。

图3 时间与完成任务量关系曲线
这样以横坐标表示进度时间,纵坐标表示累计完成工作任务量而绘制出来的曲线将是一条S形曲线。S形曲线比较法就是将计划累计完成任务量和实际累计完成任务量分别绘制成S形曲线,并通过两者的比较判断实际进度与计划进度相比是超前还是滞后的一种检查方法。
1.S型曲线的绘制步骤
(1)计算每单位时间内计划完成的任务量的百分比qi;
(2)计算时间n的计划累计完成的任务量的百分比Qn;

式中Qn—某时间n计划累计完成任务量的百分比;
qi—单位时间i的计划完成任务量的百分比;
(3)将各规定时间的Qn值,绘制成S型曲线;
(4)按上述步骤,绘制实际进度曲线。

图 4 S形曲线比较法
2.S型曲线的分析比较
在计划实施前绘制出计划S型曲线,在项目实施过程中,将检查的实际完成情况的进度曲线,绘制在计划S型曲线同一张图中,即可得出实际进度的S型曲线,如图4.30所示。分析比较两条S型曲线,即可得到相关信息。
(1)计划进度的执行情况:当实际进展点落在计划S型曲线左侧时,表明实际进度超前;若在右侧,则表示进度滞后;若正好落在计划曲线上,则表明实际进度与计划进度一致。
(2)实际进度的偏差:如图4.30所示,ΔTa表示Ta时刻实际进度超前的时间;ΔTb表示Tb时刻实际进度滞后的时间。
(3)项目实际完成任务量的偏差:如图4.30所示,ΔQa表示Ta时刻超额完成的任务量;ΔQb表示在Tb时刻少完成的任务量。
(4)项目进度预测:如图4.30所示,项目若按原计划速度进行下去,工期预计拖延时间为ΔTC。
(四)“香蕉”型曲线比较法
“香蕉”型曲线是两条S型曲线组合而成的闭合曲线。对于一个项目的网络计划,在理论上总是分为最早和最迟两种开始和完成时间。因此,任何一个项目的网络计划,都可以绘制出两条S型曲线,即以工作的最早开始时间和最迟开始时间分别绘制出相应的S型曲线,前者称为ES曲线,后者称为LS曲线,如图4.31所示。由于两条曲线除了在开始点和结束点互相重合以外,ES曲线上的其余各点均落在LS曲线的左侧,从而使得两条曲线围合成一个形如香蕉的闭合曲线,故称其为“香蕉”型曲线。
在项目实施过程中,根据每次检查的各工作实际完成的任务量,计算出不同时间实际完成任务量的百分比,并在“香蕉”型曲线的平面内绘出实际进度曲线,即可进行实际进度与计划进度的比较分析。

图5 “香蕉型”曲线比较法
通常在项目的实施过程中,进度管理的理想状态是任一时刻按照实际进度描出的点均落在香蕉型曲线区域内,这说明实际工程进度被控制于工作的最早开始时间与最迟开始时间的要求范围内,因而呈现正常状态,如图5所示的实际进度曲线。一旦按照实际进度描出的点落在了ES曲线的上方(左侧)或LS曲线的下方(右侧),则说明与进度计划相比实际进度超前或滞后。除了对工程进行实际进度与计划进度的比较之外,香蕉型曲线的作用还在于对工程进度进行合理的调整与安排,以及在检查状态下确定后期工程ES曲线和LS曲线的发展趋势。
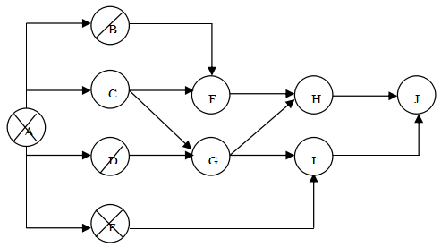
(五)单代号网络计划检查法
在单代号网络计划图上,可以在表示活动工作的节点的圆圈内加上“×”表示该活动已经结束,在圆圈内加上“/”表示活动已经开始,但尚未结束。图6表示某一单代号网络计划的进度状况。单代号网络计划检查方法直观明了,对于工作的进展状况一目了然。

图 6 单代号网络图检查
当然,进度计划的检查不局限于上述5种方法。在工程实践中,会因实际需要的不同出现各种进度计划的检查方法。
二、进度计划的检查内容与检查报告
(一)检查内容
进度计划的执行情况检查可以是日检查,也可以是定期(周、月)检查。施工进度计划的检查内容包括:
1.检查期内实际完成和累计完成工程量。
2.实际参加施工的劳动力、机械数量与计划数。
3.窝工天数、窝工机械台班及其原因分析。
4.进度偏差情况。
5.进度管理情况。
6.影响进度的原因及分析。
(二)进度报告
通过进度计划的检查,项目组织者(如项目经理部)应定期向上级提供进度计划执行情况检查报告,即进度报告。进度报告是在项目执行过程中,把有关项目业务的现状和将来发展趋势以最简练的书面形式提供给上一级管理部门或业务职能负责人。通常借用图、表、图解对设计、采购、施工、试运转等阶段的时间进度、劳力、资金、材料等现状,将来的预测以及变更指令现状等进行简要说明。